暂无搜索结果
-
1 数学解题研究基础
-
1.1 视频
-
1.2 PPT
-
1.3 文本
-
1.4 思考讨论
-
1.5 阅读文献
-
2 成功解题的基本要素
-
2.1 视频
-
2.2 PPT
-
2.3 文本
-
2.4 思考讨论
-
2.5 阅读文献
-
3 问题解决的心理分析
-
3.1 视频
-
3.2 PPT
-
3.3 文本
-
3.4 思考讨论
-
3.5 阅读文献
-
4 归纳猜想
-
4.1 视频
-
4.2 PPT
-
4.3 文本
-
4.4 思考讨论
-
4.5 阅读文献
-
5 分类思想
-
5.1 视频
-
5.2 PPT
-
5.3 文本
-
5.4 思考讨论
-
5.5 阅读文献
-
6 转化思想
-
6.1 视频
-
6.2 PPT
-
6.3 文本
-
6.4 思考讨论
-
6.5 阅读文献
-
7 对称思想
-
7.1 视频
-
7.2 PPT
-
7.3 文本
-
7.4 新建课程目录
-
7.5 思考讨论
-
7.6 阅读文献
-
8 数学模型思想
-
8.1 视频
-
8.2 PPT
-
8.3 文本
-
8.4 思考讨论
-
8.5 阅读文献
-
9 中学数学的统一性
-
9.1 视频
-
9.2 PPT
-
9.3 文本
-
9.4 思考讨论
-
9.5 阅读文献
-
10 数学试题背景研究
-
10.1 视频
-
10.2 PPT
-
10.3 文本
-
10.4 思考讨论
-
10.5 阅读文献
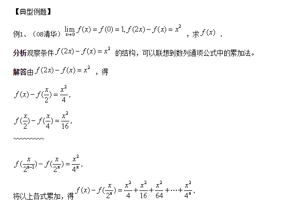
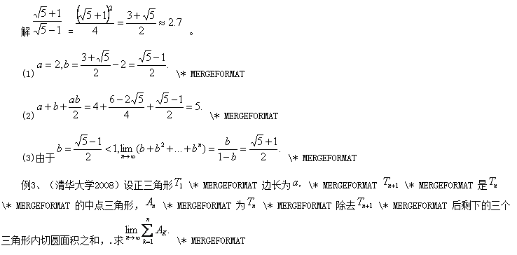
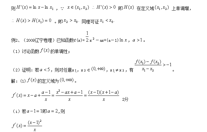
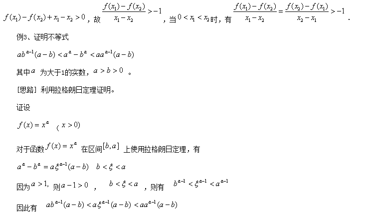
专题十 数学试题背景研究
一、数列极限
【知识拓展】
1、常用的几个数列极限:
































选择班级