专题八 数学模型思想
社会对数学的需求并不只是需要数学家和专门从事数学研究的人才,而更大量的是需要在各部门中从事实际工作的人,善于运用数学知识及数学的思维方法来解决他们每天面临的大量的实际问题,取得经济效益和社会效益。要对复杂的实际问题进行分析,发现其中的可以用数学语言来描述的关系或规律,把这个实际问题化成一个数学问题,这就称为数学模型,建立数学模型的这个过程就称为数学建模。
1 、什么是数学模型
一般地说,数学模型可以描述为:对于现实世界中的某一特定对象,为了某一特定目的,根据特有的内在规律,做出一些必要的简化假设,运用适当的数学工具,得到的一个数学结构。

从广义理解,数学模型包括数学中的各种概念,各种公式和各种理论。因为它们都是由现实世界的原型抽象出来的,从这意义上讲,整个数学也可以说是一门关于数学模型的科学。从狭义理解,数学模型只指那些反映了特定问题或特定的具体事物系统的数学关系结构,这个意义上也可理解为联系一个系统中各变量间内的关系的数学表达,即把一个实际问题中某些事物的主要特征、主要关系抽象成数学语言,近似地反映客观事物的内在联系与变化过程。
《标准》中指出,模型思想的建立是帮助学生体会和理解数学与外部世界联系的基本途径。建立和求解模型的过程包括:从现实生活或具体情境中抽象出数学问题,用数学符号建立方程、不等式、函数等表示数学问题中的数量关系和变化规律,求出结果、并讨论结果的意义。这些内容的学习有助于学生初步形成模型思想,提高学习数学的兴趣和应用意识。
2 、数学模型法的基本原则
(1)简化原则——现实世界的原型都是具有多因素、多变量、多层次的比较复杂的系统,对原型进行一定的简化即抓住主要矛盾,数学模型应比原型简化,数学模型自身也应是“最简单”的。
(2)可推导原则——由数学模型的研究可以推导出一些确定的结果,如果建立的数学模型在数学上是不可推导的,得不到确定的可以应用于原型的结果,这个数学模型就是无意义的。
(3)反映性原则——数学模型实际上是人对现实世界的一种反映形式,因此数学模型和现实世界的原型就应有一定的“相似性”,抓住与原型相似的数学表达式或数学理论就是建立数学模型的关键性技巧。数学型和现实世界的关系如下图:
3 、建立数学模型的基本步骤
用数学模型法解决最重要的就是建立适合问题的数这模型。有以下几个基本步骤:
(1)提出问题并用准确的语言加以表述;
(2)分析各种因素,作出理论假设;
(3)建立数学模型;
(4)按数学模型进行数学推导,得出有意义的数学结果;
(5)对数学结论进行分析。若符合要求,可以将数学模型进行一般化和体系化按此解决问题若不符合,则进一步探讨,修改假设,重建模型,直止符合要求为止;
(6)优化。对一个问题的假设和数学模型不断加以修改,进行最优化处理。因为对一个问题或一类问题也可能有几个模型,以对它们要进行比较,直到找到最优模型。
第二节 中学数学中重要的数学模型
1 、二次幂和模型
据记载,早在公元前3000年左右,巴比伦人曾求出了前10个自然数的平方和,而在公元前3世纪,阿基米德已经得出了前n个自然数平方和的一般公式:








证法5:

证法6:
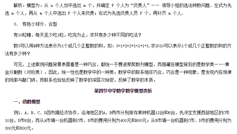
2 、费波那契数列模型
1、斐波那契数列溯源
意大利的数学家费波那契(Leonarde Fibonacci)提出著名的“兔子生兔子的数学问题”, 即有一个人把一对小兔子放在四面都围着的地方,他想知道一年以后总共会有多少对兔子?在这里我们假定一对小兔子一个月后就能长成大兔子,而一对大兔子一个月后就能生出一对小兔子,并且这些兔子都不会有死亡现象发生.
下面让我们先观察一下,看看有什么规律没有,为此我们用空心点表示一对小兔子,实心点表示一对大兔子,则可以使用下面的图形来表示在6个月之中饲养的兔子的繁殖情况:


于是,求得Fibonacci数列的通项为
2、上台阶模型的案例分析
案例:有一个人要走上有n
分析一(归纳思维):1个台阶有1不同种的走法;
2个台阶有2不同种的走法;
3个台阶有3不同种的走法;
4个台阶有5不同种的走法;
5个台阶有8不同种的走法;











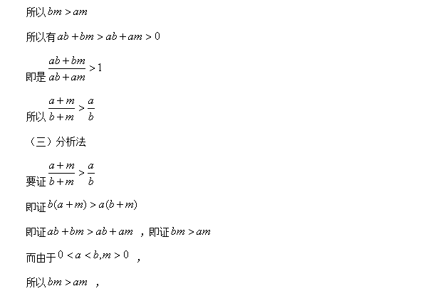
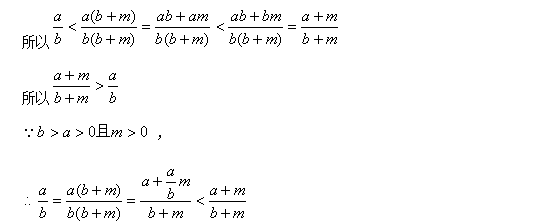
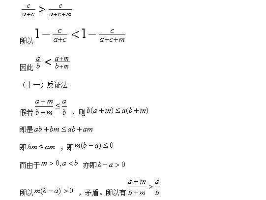
(八)构造法








3、建筑学规定:民用建筑的采光度等于窗户面积与地面面积之比,但窗户面积必须小于地面面积,采光度越大说明采光条件越好。问:增加同样的窗户面积和地面面积,采光条件是变好了还是变坏了。



































