专题七 对称思想
对数学美的追求既是数学家从事创造活动的动力之一,又是他们判断和选择成功的重要工具,因而追求数学美是数学发现的重要因素。对称是自然界一种常见的重要的现象,也是数学研究的一个重要内容,是数学美的一种重要体现。现代数学把数学研究的对象从“空间形式与数量关系”扩充为“模式与秩序的科学”。德国数学家H·外尔说:“对称是一个广阔的主题,在艺术和自然两方面都意义重大。数学就是它的根本,并且很难找到可以论证数学智慧作用的更好的主题。”
一、代数式中变元的对称


对称式的基本性质
性质1 任何对称式都可以用它的基本对称式来表示。
性质2 对称式的和、差、积、商也是对称式。
性质3 轮换对称式的和、差、积、商也是轮换对称式。
性质4 齐次轮换对称式的和、差、积、商也是齐次轮换对称式。
性质5 一个m

(A) 1(B) 2(C) 3 (D) 6
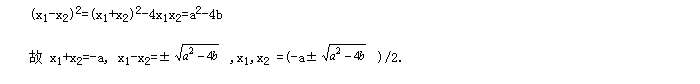
分析:显然方程组关于x、y、z对称,其结果也应关于x、y、z对称。
若方程只有一组解,则必有x=y=z,此时由① 有x=y=2,代入②、③皆不成立,所以(A)错。
若方程有两组解,则与方程组关于x、y、z具有的对称性矛盾,所以(B)也不对。
若方程有三组解,则x=y≠z应成立,此时由①,z=6-2x,代入②得3x2-12x+13=0,但由于△=-12<0,此方程无解,(C)也错。
故应选(D)。
【点评】当x、y、z为两两不等的实数时,这三个数的每一个排列对应于这样的方程的一组解,这样的排列共6组,故方程组应有6k(k∈N)组解。实际上,1、2、3的6组不同排列就分别是上述方程的6组解。
例2:a、b、c为相异正数,求证:(b-c)2(b+c-a)+(c-a)2(c+a-b)+(a-b)2(a+b-c)>0.
分析:由于不等式关于a、b、c具有对称性,不妨设a>b>c
①当a+c-b≥0时,结论显然成立
②当a+c-b<0时,设b+c-a=-x,则x>0,a=b+c+x
左边=(b-c)2(-x)+(b-x)2(2c+x)+(2b+x)(c+x)2>0
根据对称原理,在a、b、c的其它大小关系下,原式同样成立。
结论得证。
【点评】可见,在解题的过程中如果注意到对称性并且恰当地利用对称性,则可以减少一些繁琐的计算,使解题方法简洁明快,提高解题效率,达到事半功倍的效果。










分析配方法简单自然,学生容易想到这种解法,但缺点是配方依赖于熟练的运算技巧。因此配方法不容易推广到高次方程的情形,三次方程配方法就相当复杂。仔细分析对称法,这种方法思路清晰,它充分地利用了“方程的系数是根的对称函数”这一性质。这种方法显然有可能推广到一般的高次方程的情形。
三、 函数的对称性
1 、函数关于点对称
定理1.函数 y = f (x)的图像关于点A (a ,b)对称的充要条件是
f (x) + f (2a-x) = 2b
证明:(必要性)设点P(x ,y)是y = f (x)图像上任一点,∵点P( x ,y)关于点A (a ,b)的对称点P‘(2a-x,2b-y)也在y = f (x)图像上,∴ 2b-y = f (2a-x)
即y + f (2a-x)=2b故f (x) + f (2a-x) = 2b,必要性得证。
(充分性)设点P(x0,y0)是y = f (x)图像上任一点,则y0 = f (x0)
∵ f (x) + f (2a-x) =2b∴f (x0) + f (2a-x0) =2b,即2b-y0 = f (2a-x0) 。
故点P‘(2a-x0,2b-y0)也在y = f (x) 图像上,而点P与点P‘关于点A (a ,b)对称,充分性得征。
推论:函数 y = f (x)的图像关于原点O对称的充要条件是f (x) + f (-x) = 0


2 、函数关于直线对称
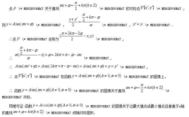
定理2.函数 y = f (x)的图像关于直线x = a对称的充要条件是
f (a +x) = f (a-x) 即f (x) = f (2a-x) (证明留给读者)
推论:函数 y = f (x)的图像关于y轴对称的充要条件是f (x) = f (-x)
定理3. ①若函数y = f (x) 图像同时关于点A (a ,c)和点B (b ,c)成中心对称(a≠b),则y = f (x)是周期函数,且2| a-b|是其一个周期。
②若函数y = f (x) 图像同时关于直线x = a 和直线x = b成轴对称 (a≠b),则y = f (x)是周期函数,且2| a-b|是其一个周期。
③若函数y = f (x)图像既关于点A (a ,c) 成中心对称又关于直线x =b成轴对称(a≠b),则y = f (x)是周期函数,且4| a-b|是其一个周期。
①②的证明留给读者,以下给出③的证明:
∵函数y = f (x)图像既关于点A (a ,c) 成中心对称,
∴f (x) + f (2a-x) =2c,用2b-x代x得:
f (2b-x) + f [2a-(2b-x) ] =2c………………(*)
又∵函数y = f (x)图像直线x =b成轴对称,
∴ f (2b-x) = f (x)代入(*)得:
f (x) = 2c-f [2(a-b) + x]…………(**),用2(a-b)-x代x得
f [2 (a-b)+ x] = 2c-f [4(a-b) + x]代入(**)得:
f (x) = f [4(a-b) + x],故y = f (x)是周期函数,且4| a-b|是其一个周期。
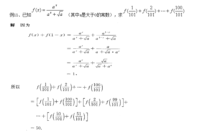
推论:两个函数的图象对称性






















