专题六 转化思想
数学是关于函数规律与变换的一门学科,它能使我们把形象的外延与规定的运动转化成数。,总所周知,笛卡尔通过建立坐标系,把几何问题转化为代数问题,开创了解析几何,是数学发展史上的里程碑,也是转化思想的光辉范例。当我们面对数学题不能解决时,首先选择转化思想,化繁为简、化新为旧、化生为化已知为未知。这是人类认识的基本规律,也是人们对事物联系和转化的一种能动的反映。
一、高斯模式(降维降次)
高斯的降维将次的思想是本系统内的化归,是单维化归方法。

二、笛卡尔模式(数形结合)
华罗庚说:“数缺形时少直观,形缺数时难入微”,数形结合是沟通两个不同数学分支的化归方法,是二维化归。
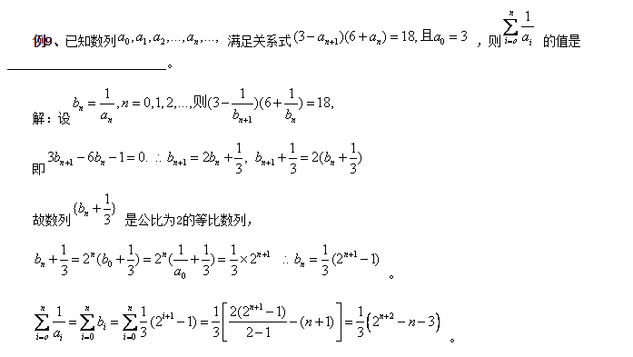
例2(交大2007冬令营)、设函数
,试讨论















例13、(2009清华)有100个集装箱里面有200个货物.在取出来的过程中货物的顺序被打乱了,现要将它们按一定的规则重新装入集装箱中.将货物依次取出,依次放入集装箱中,集装箱的体积都是1,且每个集装箱最多放两个货物,若装了一个货物后装不下第二个,那么就将这个集装箱密封,把第二个货物装到下个集装箱中.比如原来有2个集装箱中的货物体积是(0.5,0.5),(0.7,0.3),被打乱顺序后为0.5,0.7,0.5,0.3,那么就需要3个集装箱去装他们.问在最坏的情况时需要多少个集装箱.
解析最坏要199个集装箱。

其中第一排放在奇数位置,第二排放在偶数位置.显然需要199个集装箱.
例14、8位歌手参加艺术节,准备为他们安排m


