专题五 分类思想
“从最一般的意义讲,数学是关系的科学,在全部的内容中,对“关系”作出抽象”(高斯).对于人类来讲,学数学的主要目的是服务于人类、解释自然现象,其结果就是了解现象之间的关系,即对复杂而混沌的现象或数据施以理性梳理,抽象出数量关系和空间形式,并作为数学的研究对象,从而探究关系中的秩序与和谐.
一、等价关系


例3、(清华大学2009)设
证设
![]()
![]()
![]()
二、分类思想
分类的思想是自然科学乃至社会科学研究中经常用到的,又叫做逻辑划分。不论从宏观上还是从微观上对研究对象进行分类,都是深化研究对象、发展科学必不可少的思想。刘徽《九章算术注》中的“类”。其涵义不外有:种类(类别)、分类、类推(推类)、相同、有同、类同等。而在墨家逻辑那里,“类”与同异、有无的认识联系在一起。类,首先是事物间同异关系的概 括,但主要指“类别”、“类同”或“不类”。 分类的出发点是将研究对象,按照一定的性质进行划分,起作用在于:化多为少、化无限为有限。以缩小分析与实验的范围,谋求问题的解决。
依据数学研究对象本质属性的相同点和差异点,将数学对象分为不同种类的数学思想叫做分类的思想。将事物进行分类,然后对划分的每一类分别进行研究和求解的方法叫做分类讨论的方法。
对于同一个集合,按照不同的标准可以进行不同的分类。

定理1集合A的一个分类决定A一个等价关系;反过来,A的 一个等价关系决定A的一个分类.
定理2A到B的映射决定A的一个分类;A的一个分类Σ也决定A到Σ的一个映射.
这两个定理给出了集合的分类与等价关系、映射之间的联系,解决了如何利用等价关系给集合分类的问题.
中学中的分类主要是分类讨论,分类讨论时,必须遵循两个原则:
(1)对存在总域的各个子域分类要做到“既不重复,也不遗漏”;
(2)每次分类必须按同一标准进行。
其主要形式为:
形式一、根据数学概念、公式、定理特征分类
例1、(2011华约样题)甲、乙、丙、丁等七人排成一排,要求甲在中间,乙丙相邻,且丁不在两端,则不同排法共有()
A.24种B. 48种C. 96种D.120种
解:甲、乙、丙、丁等七人按要求站成一排,从左至右依次编号为1,2,3,4,5,6,7
显然,甲必须站在第4号位置上,下面根据丁的站位分类讨论:
(1)当丁站在2或6号位置上时,符合要求的排法有:
种
(2)当丁站在3或5号位置上时,符合要求的排法有:
所以,符合要求的不同排法共有120种
例2、(2009四川卷文)2位男生和3位女生共5位同学站成一排,若男生甲不站两端,3位女生中有且只有两位女生相邻,则不同排法的种数是
A.60B. 48C. 42D. 36
分析:从3名女生中任取2人“捆”在一起记作A,(A共有
种不同排法),剩下一名女生记作B,两名男生分别记作甲、乙;为使男生甲不在两端可分三类情况:
第一类:女生A、B在两端,男生甲、乙在中间,共有
=24种排法;
第二类:“捆绑”A和男生乙在两端,则中间女生B和男生甲只有一种排法,此时共有
=12种排法
第三类:女生B和男生乙在两端,同样中间“捆绑”A和男生甲也只有一种排法。
此时共有
=12种排法
三类之和为24+12+12=48种。.![]()
【答案】B
【点评】分类与分步的本质区别在于分步有序关系。
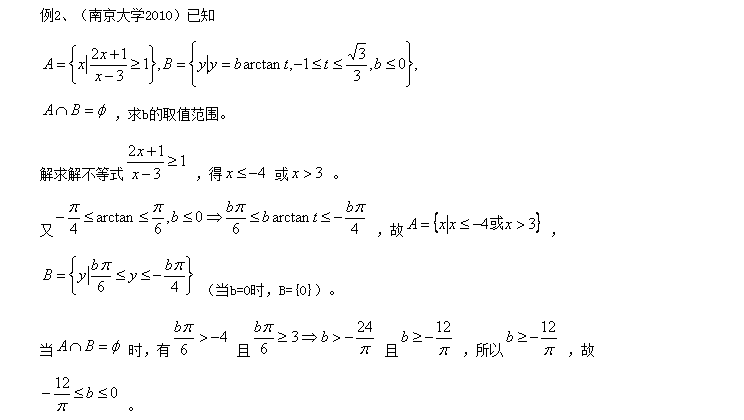
形式二、根据参数取值范围分类















3 、同余分类
例6、设S为集合{1,2,3,……,50}的一个子集,且S中任意两个元素之和不能被7整除,则S中元素最多有多少个?
解:将这50个数按照7的余数划分成7个集合
A0={7,14,21,28,35,42,49}
A1={1,8,15,22,29,36,43,50}
A2={2,9,16,23,30,37,44}
A3={3,10,17,24,31,38,45}
A4={4,11,18,25,32,39,46}
A5={5,12,19,26,33,40,47}
A6={6,13,20,27,34,41,48}
除去A0中的7个元素外,其余集合中的元素都不能被7整除,而且其余六个集合的每一个集合中任意两个元素之和也不能被7整除,但是,A1和A6、A2和A5、A3和A4中如果各取一个元素的话,这两个元素之和能够被7整除,因此,所求集合中的元素可以这样构成:A0中取一个,然后在A1和A6、A2和A5、A3和A4每一组的两个集合中取一个集合中的所有元素,为了“最多”,必须取A1中的8个,然后可以取A2、A3中各7个元素,因此S中元素最多有1+8+7+7=23个.

