专题四 归纳猜想
在数学的领域中, 提出问题的艺术比解答问题的艺术更为重要.
——康扥尔(Cantor)
归纳是人类探索和发现真理的主要工具。哈尔莫斯:“数学是创造性的艺术,数学的创造绝不是单靠推论可以得到的,首先通常是一些模糊的猜测,揣摩着可能的推广,接着下了不十分有把握的结论。然后整理想法,直到看出事实的端倪,往往还要费好大的劲儿,才能将一切付诸逻辑式的证明。这过程并不是一蹴可几的,要经过许多失败、挫折,一再地猜测、揣摹,在试探中白花掉几个月的时间是常有的。”勾股定理的发现、二项式定理、三角形内角和定理、欧拉定理、哥德巴赫猜想等许多定理和猜想都来源于归纳,可见“没有大胆的猜想,就做不出伟大的发现”, 先猜后证——这是大多数发现之道。那么数学猜想有哪些策略呢? “道生一,一生二,二生三,三生万物”,归纳是由特殊到一般的推理,是“似然”的合情推理。对于数学的发明或发现而言,归纳推理的巨大作用是演绎推理所无法代替的,他符合人类认识事物的基本规律。
一、科学推理及其分类
推理在人们的认识过程中和数学研究中乃至数学学习中有着巨大的作用,它可以使我们获得新的知识,也可以帮助我们论证或反驳某个论题。数学思维广泛地运用着逻辑推理,在发现数学科学规律的过程中,在数学证明中,在构成数学的假说中,逻辑推理都被广泛使用着。
推理是由一个或几个已知判断做出一个新判断的思维形式。每一个推理都由前提和结论两部分组成。依据的已知判断,叫做推理的前提;得出的新判断,叫做推理的结论。推理在语言上表现为复句或多重句子或句群。在推理的表述中,常用逻辑关联词,在数学中还用符号。
数学中的推理分为论证推理和似真推理两大类。
论证推理是指其结论给我们提供切实可靠的知识的推理,它的主要形式是演绎推理和完全归纳推理;
似真推理,也称或然推理,其结论给我们提供或然知识的推理。所谓或然性是指其真实性可能对也可能不对。它的主要形式是类比推理和不完全归纳推理。
(1)演绎推理
如果根据一类事物对象的一般判断(前提),推出这类事物个别对象的特殊判断(结论),那么将这种推理称为演绎推理,也称演绎法。
演绎推理是由一般到特殊的推理,只要符合推理规则,推导出的结论就是真实可靠的。这是由于其结论事实上已经包含在其前提之中了,而推理规则又保证了前提与结论之间的必然逻辑联系。因而,它是一种论证推理,可作为数学中严格证明的工具。
演绎推理的形式多种多样,数学中运用最普遍的有三段论和关系推理,此外,还有选言推理、假言推理、联言推理等。
三段论:三段论是由两个包含着共同项的性质判断而推出一个新的性质判断的推理。它由三个简单性质判断组成,①与②是前提,③是结论。三段论所包含的三个不同的概念分别叫大项、小项与中项。大项就是作为结论的谓项的那个概念;小项就是作为结论主项的那个概念;中项就是在两个前提中都出现的那个概念。
三段论的两个前提中,包含大项的那个前提叫大前提;包含小项的那个前提叫小前提。为了研究方便,规定写三段论时,一股地,两个前提中大前提在前,小前提在后。
(2)类比推理
类比推理是根据两个或两类对象的某些属性相同或相似,而推出它们的某一其他属性也相同或相似的推理形式。这种推理方法,通常也称为类比法。
类比推理所得出的结论未必真。类比是有条件的,否则,就有可能出现类似错误:一般来说,如果两类事物共有的性质愈多,那么推出的结论的可靠程度就愈大。与不完全归纳法一样,运用类比推理得到的结论其正确或错误也是需要严格论证的。
在数学中,类比推理同样是发现概念、公式、定理和方法的重要手段。例如,把分式运算与分数运算类比,把平面与直线类比,把四面体与三角形类比等等,都可以发现许多新知识。此外,类比推理还广泛用于解题研究中,它具有启迪思路、触类旁通的作用。
二、科学证明
1.证明的意义及结构
思维的基本任务就是提出新命题和确定命题的真假。证明就是根据一些已经确定真实性的命题来断定某一命题真实性的一系列思维过程。
从逻辑结构方面分析,任何证明都由论题、论据、论证三部分组成。论题指需要确定其真实性的命题;论据是指用来证明论题真实性所引用的那些已知真实的命题,论据回答“用什么论证”的问题;论证是指根据论据进行一系列推理来确定论题真实性的过程。
从证明与推理的关系来看,证明必须以推理为基础,推理又总是为证明服务的。二者在结构上也是一种对应关系,证明论题相当于推理的结论,证明的论据相当于推理的前提,证明的论证方式相当于推理形式。
2.论证规则
论证规则包括论题、论据与论证的方式要求三个方面。规范而正确的论证,必须遵守以下规则:
(1)论题要明确。论题是论证的主旨,它要求:一是思维内容要有严格规定,关键性概念无歧义;二是表达思维内容的语句要准确恰当。主旨不明确,论证就是盲目的,容易犯论题不清的逻辑错误。
(2)论题必须保持论证过程的同一性。这是同一律的要求。否则就会犯偷换论题或混淆论题的逻辑错误。
(3)论据要真实,且不得以其真实性尚未曾证实的命题作为论据。论据是确定论题真实性的根据、理由,如果违反这一规则就会导致“虚假论据”,这是论证中的“基本错误”。
(4)论据要充分,即论题与论据之间应有必然联系。如果二者毫不相干,或者虽然相关但理由不充分,便会犯“推不出”的逻辑错误,也不能保证论题的真实性。
(5)论据的真实性不能是依赖于论题的真实性来证明的。否则要犯“循环论证”的错误。
三.数学论证的基本方法
论证主要是依靠推理的思维工具来实现的,按照它所使用的主要推理方法来划分,结合数学及其教育的实际情况,数学论证所常用的方法主要有:演绎论证与归纳论证、类比论证;分析论证与综合论证、直接论证与间接论证等。数学论证常用的间接证法主要有反证法和同一法。
反证法的思维过程是:第一步,以原命题的矛盾命题(称为反论题)作为前件,推导出必然的后件,再根据真命题确定后件的虚假,从而进一步依据充分假言推理之否定后件式、确定反论题的虚假。第二步,根据排中律进行直接推理,最后得出原论题为真的结论。
同一法的逻辑根据是同一原理:互逆的两个命题未必等价,但是,当一个命题的条件和结论都惟一存在,它们所指的概念的外延完全相同,是同一概念时,这个命题和它的逆命题等价。这一性质通常称为同一原理或同一法则。例如“等
腰三角形底边上的中线是其底边上的高线”是个真命题,命题的条件和结论都惟一存在,条件和结论所指的概念的外延完全相同(即为同一条线段),其命题“等腰三角形底边上的高线是其底边上的中线”也必为真。对于符合同一原理的两个互逆命题,在判定其真假时,只要判定其中的一个即可。
中学中的归纳证法主要指的是数学归纳法。
四、科学推理及证明的逻辑规律
人类是用概念、判断、推理等思维形式来进行思维活动及论证思想的。在人类进行正确的思维和推理的过程中,都要正确地运用逻辑形式,而思维的逻辑形式是受逻辑规律制约的。普通逻辑所研究的基本规律有四个:同一律、矛盾律、排中律和充足理由律。
1.同一律
同一律的基本内容是:在同一思维(论证)过程中,每一思想的自身具有同一性。同一律的公式是:A是A(A表示概念或判断),用数理逻辑的符号表示,
同一律在思维中的作用就在于保证思维的确定性。同一律有三点具体的要求:一是思维对象要保持同一;二是表示同一对象的概念要保持同一;三是推理
前后或论证过程中人们所使用的判断必须保持其自身的同一。
同一律作为一种科学规律,具有必然性和客观性。如果违背了同一规律的要求,那就会破坏思维的一贯性,造成思维混乱,在同一推理、证明的过程中,就会犯“偷换概念”、“偷换论题”等逻辑错误。
例如,有的同学证明“四边形内角和等于
需要指出的是,同一律所要求的“同一”是相对的、有条件的。它是在同一个思维过程,即同一时间、同一关系下对于同一对象而言的。若在一定条件下的“同一”条件变了,认识也相应的有所发展。如“方程
2.矛盾律
矛盾律的基本内容是:在同一思维(论证)过程中,对同一对象所表达的两个互相矛盾或对立的思想不能同真,至少必有一假;也就是说对于同一个思维对象不能既肯定它是A,又否定它是A。
矛盾律的公式是:A不是非A。例如,如果我们对直线a、b做出互相矛盾的两个判断:“直线a、b是共面直线”,“直线a、b是异面直线”。那么根据矛盾律,它们不能同真,必有一假。
与同一律一样,矛盾律作为一种科学规律,也具有必然性和客观性。如果违背了矛盾规律的要求,那就会犯“自相矛盾”的逻辑错误或者说有了逻辑矛盾。数学中的悖论就是一种特殊的逻辑矛盾。
矛盾律的作用是保持思维的首尾一贯,避免自相矛盾。任何一个科学理论都应该具有不矛盾性。矛盾律是用否定的形式表达同一律的思想内容,它是同一律的引申,同一律说且是A,矛盾律实际上也是思维确定性的一种表现,因此矛盾律是从否定方面肯定同一律的。
还需要指出的是,矛盾律中所谓的矛盾,是指思维过程中的思维混乱,即同时确定A与非A都真。它是在同一个思维过程,即同一时间、同一关系下对于同一对象而言的。对这种逻辑矛盾,矛盾律要加以排除的。但有时在同一时间,对于同一对象本身具有矛盾着的两方面的性质,人的思维要用一个判断同时提示这一对象的矛盾两重性,这就不违反矛盾律的要求。矛盾律并不把辩证法所讲的矛盾排除在一切思维之外,更不否认世界固有的矛盾。绝不能把矛盾律与辩证法所讲的矛盾混为一谈。
3.排中律
排中律的基本内容是:在同一思维(论证)过程中,对同一对象所表达的两个互相矛盾的思想,不能同假,必有一真。也就是说对于同一思维对象,必须做出明确的肯定或否定,不能既不是/4,又不是非/4,d和非/4两者必居其一,且仅居其一。
排中律公式表示是:A或者非A。此公式用数理逻辑的符号表示,即为
”和“直线
排中律的作用在于保持人们的思维的明确性。“排中”就是排除第三者,或A或非A,二者必居其一,不能含糊不清。违反了排中律就会犯“模棱两可”的错误。
排中律是反证法的逻辑基础,在直接证明某一判断的正确性时有困难,根据排中律,只要证明这一判断的矛盾判断是假就可以了。与同一律、矛盾律一样,排中律作为一种科学规律,也是在一定条件下起作用的。如果客观事物确实存在着第三种可能性,如果不是两个相互否定的思想,就不能要求在两者之中承认一个为真,否则就会造成思想上的片面性。还必须指出,排中律并不是否认事物经过中间环节相互过渡,相互转化,排中律既不涉及事物在一定条件下互为中介和相互转化的问题,也不涉及两类事物间的中间情形的问题。
逻辑思维规律是人们在长期反复实践中总结提炼出来的。同一律、矛盾律、排中律是在公元前4世纪,由古希腊的大哲学家亚里士多德所发现,三者之间的联系是从不同角度去陈述思维的确定性的,排中律是同一律和矛盾律的补充和深入,排中律和矛盾律都不允许有逻辑矛盾,违背了排中律就必然违背矛盾律。
4.充足理由律
充足理由律是在17世纪末由德国的哲学家和数学家莱布尼兹补充的。其基本内容是:在思维(论证)过程中,对任一真实的判断,都必须有充足的根据,也就是说正确的判断必须有充足的理由。
充足理由律的公式是:“A真,因为B真,而且B能推出A”。其中A和B都表示一个或几个真判断,B称为A的理由,A称为B的结论。
充足理由律是有关论证的逻辑规律,是推理、论证与反驳的逻辑基础。充足理由律的主要作用在于保证思维的论证性。但在一个推理、论证过程中,理由究竟是真是假,仅仅依靠充足理由律是无法断定的。例如,要确定一个数学命题为真,究竟要从哪些方面提出理由,选择哪些事实,引用什么数学定理、公式等等,这都与数学知识有关,充足理由律也是不能解决的。
这四个规律概括地表现了逻辑思维的基本特征,它是保证人们正确认识客观世界和正确表达思维的基本前提。正确的思维应该是确定的、无矛盾的、前后一贯的、论据充足的。不然的话,思维就将陷入混乱,表达思维的语言也就会语无伦次,在数学的推理和证明中,如果违背了逻辑思维的规律,就会产生逻辑错主,论证就得不出确实可靠的结论,因此数学中的推理论证必须遵守逻辑思维的基本规律。
【真题透析】




例5、(交大2003冬令营)3个自然数倒数和为1,求所有的解。
猜想:不存在1这个数,当存在数2时,有2,3,6;2,4,4;当存在数3时有3,3,3.

答案是:2,3,6;2,4,4;3,3,3.
例6、已知函数f(x)的定义域为N,且对任意正整数x,都有f(x)=f(x-1)+f(x+1)
若f(0)=2010,求f(2010)的值。
解法一:归纳周期为6.
解法二:因为f(x)=f(x-1)+f(x+1)所以f(x+1)=f(x)+f(x+2) 两式相加得0=
f(x-1)+f(x+2)
即:f(x+3)=-f(x)
∴f(x+6)=f(x)f(x)是以6为周期的周期函数2004=6×334∴ f(2004)=f(0)=2004
例7、若数列
的值为___________。
解:根据数列
【评注】有些题目,表面看起来无从下手,但你归纳出它的前几项后,就会发现规律,出现周期性,问题就迎刃而解。


【评注】归纳、猜想数学归纳法证明是我们必须掌握的一种方法。
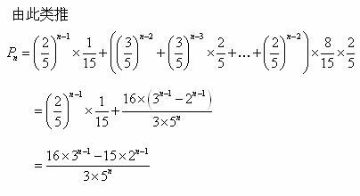
例10(00交大)口袋中有4个白球,2个黄球,一次摸2个球,摸到的白球均退回口袋,保留黄球,到第
![]()
解:根据题意




