定义:
悬臂式挡土墙多用钢筋混凝土做成,它的稳定性主要靠墙踵悬臂以上的土所受重力维持,它的悬臂部分的拉应力由钢筋来承受。
特点:
1.截面尺寸小。
2.施工方便。
3.对地基承载力要求不高。
4. 工作面较大。
适用范围:地基土质差且墙高h>5m的重要工程。
悬臂式挡土墙设计(包括四个环节)
(1)根据支挡环境的需要拟定墙高,以及相应的墙身结构尺寸;
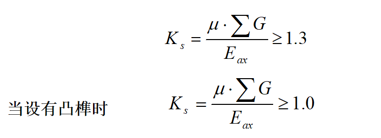
(2)根据所拟定的墙体结构尺寸,确定结构荷载(墙身自重、土压力、填土重力),由此进行墙体的抗滑、抗倾覆稳定性验算,确认是否需要底板加凸榫设计;
(3)底板地基承载力验算,确认底板尺寸是否满足要求;
(4)墙身结构设计。

1、悬臂式挡土墙的构造-墙身
内侧:(即墙背)宜做成竖直面
外侧:(即墙面)可做成1:0.02~1:0.05的斜坡,具体坡度值将根据立臂的强度和刚度要求确定。
墙厚:当挡土墙墙高不大时,立臂可做成等厚度。墙顶宽度不应小于20cm。当墙较高时,宜在立臂下部将截面加宽。

1、悬臂式挡土墙的构造-底板
一般水平设置。通常变厚度,底面水平,顶面则自与立臂连接处向两侧倾斜。当墙身受抗滑稳定控制时,多采用凸榫基础。
墙踵板长度由墙身抗滑稳定验算确定,并具有一定的刚度。靠近立臂处厚度一般取为墙高的1/12~1/10,且不应小于30cm。
墙趾板的长度应根据全墙的倾覆稳定、基底应力(即地基承载力)和偏心距等条件来确定,其厚度与墙踵板相同。通常底板的宽度由墙的整体稳定性决定,一般可取墙高的0.6~0.8倍。

1、悬臂式挡土墙的构造-凸榫
为提高挡土墙抗滑稳定的能力,底板可设置凸榫,厚度除了满足混凝土的直剪和抗弯的要求以外,为了便于施工,还不应小于30cm。

1、悬臂式挡土墙的构造-其他
伸缩缝的间距不应大于20m。
沉降缝、泄水孔的设置应符合重力式挡土墙的相关要求。
墙身混凝土强度等级不宜低于C30,受力钢筋直径不应小于12mm。墙后填土应在墙身混凝土强度达到设计强度的70%时方可进行。
2、悬臂式挡土墙的设计-拟定截面初步尺寸
确定立臂的截面尺寸
墙高根据工程需要确定;墙顶宽可选用20cm;墙背取竖直面,墙面取1:0.02~1:0.05斜度的倾斜面。
确定底板尺寸
底板在与立臂相接处厚度为(1/12~1/10)H,而墙趾板与墙踵板端部厚度不小于20~30cm;其宽度可近似取(0.6~0.8)H。墙踵板及墙趾板的具体长度将由全墙的稳定条件试算确定。

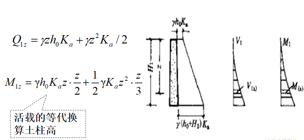
悬臂式挡土墙上的土压力计算
库仑理论:直线AB看作假想墙背,土体与假想墙背的摩擦角δ取土体的内摩擦角φ, 为假想墙背的倾角。计算ΣG时要计入墙背与假想墙背之间ΔABD的土体自重。
郎金理论:以过墙踵端点的竖直线段BC为假想墙背进行计算。

2、悬臂式挡土墙的设计-拟定截面初步尺寸
墙踵板长度(按抗滑稳定性确定)

墙趾板长度
根据全墙抗倾覆稳定系数公式,基底合力偏心距限制和基底地基承载力等要求来确定
2、悬臂式挡土墙墙身内力计算-立臂的内力计算
立臂作为固定在墙底板上的悬臂梁,主要承受墙后的主动土压力与地下水压力,可不考虑挡墙前土的作用。按受弯构件计算。

2、悬臂式挡土墙墙身内力计算
-墙踵板的内力计算
墙踵板按以立臂底端为固定端的悬臂梁计算 。


2、悬臂式挡土墙墙身内力计算-墙趾板的内力计算
墙趾板也按以立臂底端为固定端的悬臂梁计算 。

2、悬臂式挡土墙设计-墙身和底板的设计
均按受弯构件进行
墙身纵筋按计算确定,可根据弯矩大小分几次切断

(5)墙身钢筋混凝土配筋设计
①立板配筋设计
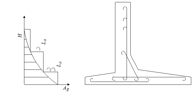
立臂受力钢筋沿内侧竖直放置,一般钢筋直径不小于12mm,底部钢筋间距一般采用100~150mm。因立臂承受弯矩越向上越小,可根据材料图将钢筋切断。当墙身立臂较高时,可将钢筋分别在不同高度分两次切断,仅将1/4~1/3受力钢筋延伸到板顶。顶端受力钢筋间距不应大于500mm。在水平方向也应配置不小于φ6的分布钢筋,小于立臂底部受力钢筋的1%。

②底板配筋设计
墙踵板受力钢筋,设置在墙踵板的顶面。受力筋一端插入立臂与底板连接处以左不小于一个锚固长度;另一端按材料图切断,在理论切断点向外伸出一个锚固长度。
墙趾板的受力钢筋,应设置于墙趾板的底面,该筋一端伸人墙趾板与立臂连接处以右不小于一个锚固长度;另一端一半延伸到墙趾,另一半在B1/2处再加一个锚固长度处切断。












