边坡工程7-锚杆(索)设计与施工
本章内容
锚杆(索)的结构与分类及其应用
锚杆(索)的设计与计算
锚杆(索)的构造设计
锚杆(索)的施工
锚杆(索)的试验与观测
本章难点、重点
锚固作用机理
锚杆(索)的设计与计算
1、岩土锚固技术及其应用
锚杆(索):锚杆是一种将拉力传至稳定岩层或土层的结构体系,主要由锚头、自由段和锚固段组成。当采用钢绞线或高强钢丝束作杆体材料时,也可称为锚索。它所起的作用就是锚固。
锚固工程特点:
(1)调用岩土自身的强度,达到提高其自稳能力的目的。
(2)岩土体成为工程结构的一部分。
(3)大大减轻了加固结构物的自重,节约工程材料。
(4)主动防治措施,效果明显。
锚固工程已用于工程建设的各个领域,如水电、矿山、公路、铁路、城市建设(基坑)等,尤其是在地质灾害防治方面被广泛使用。

主体部分长1.6公里,最大高度170m的三峡船闸高边坡及中隔离加固,共施工预应力锚索4376根,其中对穿锚索1986根;锚索长度30-57 m,最大长度69.4 m;施加的张拉应力为1000 kN和3000 kN。


链子崖危岩体
位于湖北省秭归县新滩,距三峡大坝仅27Km。链子崖危岩体北端危T8—T12缝段200余万立方米危岩滑入长江的可能性较大。
20世纪90年代中期国家决定锚固。
锚固方案选用3000KN、2000KN、1000KN三种锚索规格。
3000KN:分布于高程150m以下,共50根,承担总锚固力的1/2;
2000KN:分布于高程160m之下,共48根,约承担总锚固力的1/3;
1000KN:锚索65根,承担剩余的锚固力










锚杆的构成:主要由锚头、自由段和锚固段组成
(1)锚头:锚杆外端用于锚固或锁定锚杆拉力的部件,由垫墩、垫板、锚具、保护帽和外端锚筋组成。
(2)锚固段:锚杆远端将拉力传递给稳定地层的部分锚固深度和长度应按照实际情况计算获取,要求能够承受最大设计拉力。

(3)自由段:将锚头拉力传至锚固段的中间区段,由锚拉筋、防腐构造和注浆体组成。
(4)锚杆配件:为了保证锚杆受力合理、施工方便而设置的部件,如定位支架、导向帽、架线环、束线环、注浆塞等(图6.2)。

1-台坐;2-锚具;3-承压板;4-支档结构;5-自由隔离层;
6-钻孔;7-对中支架;8-隔离架;9-钢绞线;l0-架线环;
ll-注桨体;12-导向帽;Lr-自由段;La-锚固段
锚杆常采用I级或II级钢筋或钢丝束,甚至是高强度钢绞线或高强度粗钢筋。
钢筋锚杆宜采用螺纹钢,直径一般为18~32mm。强度不够时,锚杆可2~3根并焊成束,但每孔钢筋数不宜多于3根。
锚孔直径应与锚杆直径相配合,一般为锚杆直径的3倍,但一般不宜小于10cm。

锚索实际上是高承载力的锚杆。
锚索组成仍为三大部分:锚头,锚索体,锚固体。
锚头:由垫板、锚环、锚塞(锚具)和混凝土墩(锚墩)组成。
锚索体:由高强钢丝、钢丝束、钢丝绳、钢铰线等制成。
锚固体:定位止浆环、扩张环(定位环、对中器)、导向帽等组成。




预应力锚索一般采用抗拉强度1860Mpa,公称直径15.24mm的钢绞线。
其主要指标:截面积140mm2,1000m质量1102Kg,破断荷载260.7kN,1%延伸率时荷载234.6KN,延伸率3.5%,1000h松弛率2.5%


锚固作用原理
(1).锚杆的基本力学参数
抗拔力:锚杆在拉拔试验中承受的极限拉力,即锚固力。
握固(裹)力:锚杆杆体与粘结材料间的最大抗剪力。
粘结力:锚杆粘结材料与孔壁岩土之间的最大抗剪力。
拉断力:锚杆极限抗拉强度。
(2).砂浆锚固的传力过程
取锚固段为隔离体,当锚固段受力时,拉力(T)首先通过钢拉杆周边砂浆的握裹力(u)传递到砂浆中,然后,再通过锚固段钻孔周边的地层粘结力(摩阻力)(τ)传递到锚固的地层中。
锚杆 握裹力 砂浆 粘结力 地层
(3)锚固段的砂浆对钢筋的握裹力(砂浆与钢筋间的粘结力)
在一般较完整的岩层中灌注的水泥砂浆抗压强度应不低于30MPa。如果严格按照规定的灌浆工艺施工,岩层孔壁的粘结力一般大于砂浆的握裹力。因此,岩层锚杆的抗拔力Tu和最小锚固长度一般取决于砂浆的握裹力。为此:

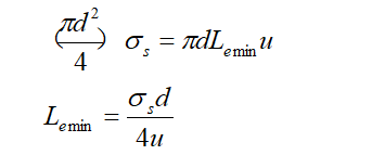
某些钢筋混凝土试验资料建议钢筋与混凝土之间的平均握裹力大约为其标准抗压强度的10-20%,据此计算一根锚杆所需的最小锚固长度Lemin,并令锚杆钢筋的极限拉应力为σs,则:
钢筋的极限抗拨力: 钢筋与砂浆的握裹力

按上式计算,在岩层中一般所需的锚固长度仅1-2m就够了,这已被铁道部科学研究院在多次岩层拉拔试验中得到证实。试验资料表明:当采用热轧螺纹钢筋作为拉杆时,在完整硬质岩层的锚孔中其应力传递深度不超过2m。
影响岩层锚杆拉拔能力的主要因素是砂浆的握裹能力(砂浆的强度)。
注意:在使用中,必须判明以下情况:
—锚固区岩体是否稳定,是否有滑坡、塌方的可能。
—节理分割的锚固区岩块,在受拉力后是否会产生松动。
考虑到上述因素,建议灌浆锚固段达到岩层内部(除去表面风化层)的深部不小于4m。
(4)锚固段孔壁的抗剪强度(锚固体与地层间的粘结力)
在风化岩层和土层中,锚杆的极限抗拔能力取决于锚固段地层对于锚固段砂浆所能产生的最大粘结力(摩阻力)。应为:
Tu≤π*D*Le*τ
上式中:Tu-柱状锚体的极限抗拔力(KN)
D-锚杆钻孔的直径(m)
Le-锚杆的有效锚固长度(m)
τ-锚固段周边的抗剪强度(KPa)
锚固段周边抗剪强度(τ)的数值受地层性质、锚杆的埋藏深度、锚杆类型和施工灌浆等许多复杂因素的影响。即便在相同深度处τ值也可能由于锚杆类型和施工灌浆方法的类别而有较大变化。
锚杆的分类:
目前,在我国和全世界范围内,适用于不同的地质条件,具有不同功能和用途的锚杆有数百种。锚杆分类方法按不同分类原则和分类标志也有很多种。现在介绍一些主要的分类:
(1).按应用对象分
岩石锚杆
土层锚杆
(2).按是否预先施加应力分
预应力锚杆:
(主动式锚杆)
非预应力锚杆
(被动式锚杆)
(3).按锚固机理分为:
粘结式锚杆:水泥砂浆锚杆和树脂锚杆
机械式锚杆:管缝式锚杆、水胀式管状锚杆、胀壳式锚杆和楔缝式锚杆

(4).按锚杆杆体材料分为:
金属锚杆、木锚杆、竹锚杆、钢筋混凝土锚杆

(6)按锚固部分大小:
全长锚固式锚杆:
端部锚固式锚杆
3、锚杆(索)在边坡处治中的应用
采用锚杆(索)加固边坡,能够提供足够的抗滑力,并能提高潜在滑移面上的抗剪强度,有效地阻止坡体位移,这是一般支挡结构所不具备的力学作用。另外锚杆在边坡加固中通常与其他支挡结构联合使用,例如:
(1)锚杆与钢筋混凝土桩联合使用:构成钢筋混凝土排桩式锚杆挡墙。排桩可以是钻孔桩、挖孔桩或劲性混凝土桩,锚杆可以是预应力或非预应力锚杆。如图6.7所示
(2)锚杆与钢筋混凝土格架联合使用:形成钢筋混凝土格架式锚杆挡墙,锚杆锚点设在格架结点上,锚杆可以是预应力锚杆(索)或非预应力锚杆(索)。如图6.8所示。

(3)锚杆与钢筋混凝土板肋联合使用:形成钢筋混凝土板肋式锚杆挡墙,这种结构主要用于直立开挖的Ⅲ、Ⅳ类岩石边坡或土质边坡支护。如图6.9所示。
(4)锚杆与钢筋混凝土板肋、锚定板联合使用:形成锚定板挡墙。这种结构主要用于填方形成的直立土质边坡,如图6.10所示。

(5)锚杆与钢筋混凝土面板联合使用:形成锚板支护结构,适用于岩石边坡。锚杆在边坡支护中主要承担岩石压力,限制边坡侧向位移,而面板则用于限制岩石单块塌落并保护岩体表面防止风化。锚板可根据岩石类别采用现浇板或挂网喷射混凝土层。
(6)锚钉加固边坡:在边坡中埋入短而密的抗拉构件与坡体形成复合体系,增强边坡的稳定性。这种方法主要用于土质边坡和松散的岩石边坡,加固高度较小,多用于临时边坡加固

