1、桩的计算宽度确定
试验研究表明:
桩在水平荷载作用下,不仅桩身宽度内的桩侧岩(土)体受挤压,而且桩身宽度以外一定范围内的土体也受到影响,呈现出空间受力状态;
岩(土)体的影响范围随不同截面形状的桩而有所不同。
为了简化计算,即将空间受力状态简化为平面问题,考虑到桩截面形式的影响,将桩宽(或桩径)换算成相当于实际工作条件下的矩形桩宽度Bp称为桩的计算宽度。
根据试验资料,对于正面边长b大于或等于lm的矩形桩和桩径d大于或等于lm的圆形桩,其计算宽度为:

2、刚性桩与弹性桩的区分
刚性桩:抗滑桩受到滑坡推力后,桩的位置发生了偏离,但桩轴线仍保持原有线型,变形是由于桩周土的变形所致 。
弹性桩:桩的位置和桩轴线同时发生改变,桩轴线和桩周土同时发生变形。
试验研究表明:当抗滑桩埋入稳定地层内的计算深度为某一临界值时,可视桩的刚度为无穷大,桩的侧向极限承载力仅取决于桩周土的弹性抗力大小。这个临界值就是判断刚性桩或弹性桩的标准。


3、刚性桩的计算
把滑面以上抗滑桩受荷载段上所有的力均当作外力,桩前的滑体抗力按其大小从外荷载中减去,对滑面以下的桩段取脱离体,滑面以上的外荷载对滑面处桩截面产生弯矩和剪力。滑面下桩周土的侧向应力和土的抗力可由脱离体的平衡而求得,并进而计算桩的内力。





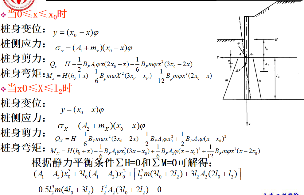
3、弹性桩的计算
抗滑桩滑面以上部分所受荷载,见下图,可以将其对滑面以下桩段进行简化,简化后桩的计算图式见图(5.6b)。此时,可根据桩周土体的性质确定弹性抗力系数,建立挠曲微分方程式,通过数学求解可得滑面以下桩段任一截面的变位和内力计算的一般表达式。最后根据桩底边界条件计算出滑面处的位移和转角,再计算出桩身任一深度处的变位和内力。


















