作用于抗滑桩上的力系主要:
滑坡推力;
受荷段地层(滑体)抗力;
锚固段地层抗力;
桩侧摩阻力和粘着力;
桩底应力。
对有锚桩,还有锚杆或锚索系统对桩上部的横向拉力和压力。
1、滑坡推力的确定
滑坡推力:剩余下滑力,即滑坡的下滑力减去抗滑力。
滑坡治理时首先须确定潜在滑动面形态及位置,确定了潜在滑面后,作用在抗滑桩、预应力锚索抗滑桩等支挡结构上的荷载就是松弛区沿潜在滑面所产生的滑坡推力。
在现有支挡结构工程的设计中,均将滑坡推力作为抗滑结构上的外荷载,只要确定了此荷载,结构设计是很容易的。因此,滑坡推力计算是支挡结构工程设计的重要内容之一。
对滑坡推力的计算,当前国内外普遍采用的做法是利用极限平衡理论计算每米宽滑动断面的推力,同时假设断面两侧为内力而不计算侧向摩阻力。
原则:滑坡推力计算应与其稳定性分析方法保持一致,这样计算的滑坡推力和相应的稳定系数才能对应。
在用极限平衡法分析边坡的稳定性时,根据条间力的不同假定有各种不同的稳定性计算方法,所以也就有计算滑坡推力的各种假定和算法。
根据常见的滑移面形式,相应的滑坡推力计算方法有五种:
(1)滑面为单一平面:这种滑动形式的稳定性计算方法较为简单,其滑坡推力计算公式如下 :

(2)滑面为圆弧面或可近似为圆弧面:在这种类型的滑动中,考虑到其整体的力矩平衡起主要作用和计算的简便性,其滑坡推力可采用简化Bishop法的稳定性分析,按照下式计算;

(3)滑面为连续的曲面或滑面由不规则(较陡)折线段组成:可采用Janbu法的稳定性分析,按照类似于下式的方法计算滑坡推力;

(4)滑面由一些倾角较缓、相互间变化不大的折线段组成:滑坡推力的计算则可采用计算方便的传递系数法;
(5)滑面倾角较陡且滑动时滑体有明显的分块,各分块之间发生错动:与相应的稳定性分析方法相适应,可采用分块极限平衡法计算其滑坡推力;
每一种滑坡推力的计算方法均与相应的坡体稳定性计算方法相对应,计算原理、假定均与各相应稳定性分析方法相同。
2、传递系数法计算滑坡推力
假定:
1.滑坡体不可压缩并作整体下滑,不考虑条块之间挤压变形;
2.条块之间只传递推力不传递拉力,不出现条块之间的拉裂;
3.块间作用力(即推力)以集中力表示,它的作用线平行于前一块的滑面方向,作用在分界面的中点;
4.垂直滑坡主轴取单位长度(一般为1.0m)宽的岩土体作计算的基本断面,不考虑条块两侧的摩擦力。


计算时从上往下逐块进行。按上式计算得到的推力可以用来判断滑坡体的稳定性。如果最后一块的En为正值,说明滑坡体是不稳定的;如果计算过程中某一块的Ei为负值或为零,则说明本块以上岩土体已能稳定,并且下一条块计算时按无上一条块推力考虑。


滑坡推力分布方式
对于液性指数小,刚度较大和较密实的滑坡体,从顶层至底层的滑动速度常大体一致,假定推力呈矩形;
对于液性指数较大,刚度较小和密实度不均匀的塑性滑体,其靠近滑面的滑动速度较大,而滑体表层的速度则较小,假定滑坡推力图形呈三角形分布;
介于上述两者之间的情况可假定推力分布呈梯形。
3、地基反力的确定
当桩前土体不能保持稳定可能滑走时,不考虑桩前土体对桩的反力,仅考虑滑面以下地基土对桩的反力,抗滑桩嵌固于滑面以下的地基中,相当于悬臂桩。
当桩前土体能保持稳定,此时抗滑桩按所谓的“全埋式桩”考虑,可将桩前土体的抗力作为已知的外力考虑,仍可将桩看成悬臂桩考虑。
桩将滑坡推力传递给滑面以下的桩周土(岩)时,桩的锚固段前后岩(土)体受力后发生变形,并由此产生岩(土)体的反力。反力的大小与岩(土)体的变形状态有关。处于弹性阶段时,可按弹性抗力计算;处于塑性阶段变形时,情况则比较复杂,但地基反力应不超过锚固段地基土的侧向容许承载能力。
另外,桩与地基土间的摩阻力、粘着力、桩变形引起的竖向压力一般来说对桩的安全有利,通常略去不计。为简化计算,桩的自重和桩底应力等也略去不计。
4、滑动面以上的桩前滑体抗力
与滑坡的性质和桩前滑体的大小等因素有关。试验表明,桩前滑体的体积越大,抗剪强度越高,滑动面越平缓、粗糙,桩前滑体抗力越大;反之,越小。另外,还与是否存在多层滑面有关。
滑动面以上桩前的滑体抗力,可通过极限平衡时滑坡推力曲线或桩前被动土压力确定,设计时选用其中小值。
注意:如果桩前土体将被挖掉或者会滑走,不应计及其抗力。
根据滑坡推力曲线确定桩前抗力
抗滑桩需要承受的推力为:F=T-P
作用于桩上的滑坡推力,可由设计抗滑桩处的滑坡推力曲线确定。若抗滑桩设在下图中滑坡的第五分块末端,该处设计滑坡推力曲线的竖直高度T , 即为作用于桩上的滑坡推力。极限平衡时滑坡推力曲线的竖直高度P , 即为作桩前滑体抗力。

5、滑动面以下地基的抗力
①锚固段桩周岩层从受力到破坏的各阶段性
弹性阶段:应力和应变成正比;
塑性阶段:侧应力增加不多而变形骤增;
破坏阶段:应力不再增大而变形不停止。
②地基反力计算思路
弹性阶段:按弹性抗力计算:视地层为弹性介质,具有随地层性质不同的地基系数,受荷地层的岩土的弹性抗力等于该地层的地基系数乘以相应的与变形方向一致的岩土的压缩变形值。
塑性阶段:则抗力等于该地层的地基系数乘以相应的与变形方向一致的岩土在弹性极限时的压缩变形值,或用该地层的侧向容许承载力值代替之。
6、地基反力系数
桩侧岩土体的弹性抗力系数简称为地基反力系数,是地基承受的侧压力与桩在该位置处产生的侧向位移的比值。也即单位土体或岩体在弹性限度内产生单位压缩变形时所需施加于其单位面积上的力。
目前常用的三种假设:

地基反力系数K、m应通过试验确定。一般情况下,试验资料不易获得,表5.1列出了较完整岩层的地基系数K值,表5.2列出了非岩石地基的m值,可供设计时参考。

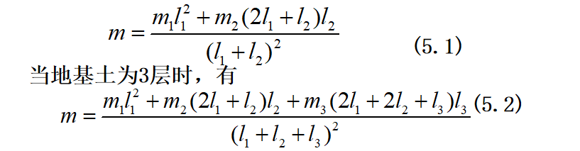
当地基土为多层土时,采用按层厚以等面积加权求平均的方法求算地基反力系数。当地基土为2层时,有

式中:ml、m2、m3——分别为第l层、第2层、第3层地基土的m值;
ll、l2、l3——分别为第l层、第2层、第3层地基土的厚度。
其他多层土可仿此进行计算。

7、P~Y曲线法
上述的K法、m法和C法能根据弹性地基上梁的挠曲线微分方程用无量纲系数求解抗滑桩的承载力、内力和变位。
当桩发展到较大的位移,土的非线性特性将变得非常突出。P~Y曲线法则考虑了土的非线性特点,它既可用于小位移,也可用于较大位移的求解。
P~Y曲线法是根据地基土的实验数据来绘制,目前一般采用Matlock建议的软粘土P~Y曲线绘制方法和Resse建议的硬粘土和砂性土的P~Y曲线绘制方法。在滨河、滨海的软土地基中,P~Y曲线已得到较多的应用。

