不平衡推力传递法又称为折线法、传递系数法,是验算山区土层沿着岩面滑动最常用的边坡稳定验算法.
基本假定:
①每个分条范围内的滑动面为一直线段,即整个滑体是沿着折线进行滑动。进行边坡稳定验算时,可根据岩面的实际情况,分割成若干直线段,每个直线段则成为一分条。
②分条间的反力平行于该分条的滑动面,且作用点在分隔面的中央。如第i 块与下面i+1块间的反力pi,平行于第i 块的滑动面。

稳定性计算:
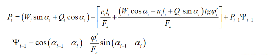
在滑体中取第i块土条,如图2.9所示,假定第i-1块土条传来的推力Pi-1的方向平行于第i-1块土条的底滑面,而第I块土条传送给第i+1块土条的推力Pi平行于第i块土条的底滑面。即假定每一分界上推力的方向平行于上一土条的底滑面,第i块土条承受的各种作用力示于右上图中。将各作用力投影到底滑面上,其平衡方程如下:


在进行计算分析时,需利用上式进行试算。即假定一个Fs值,从边坡顶部第1块土条算起求出它的不平衡下滑力P1(求P1时,式中右端第3项为零),即为第1和第2块土条之间的推力。再计算第2块土条在原有荷载和P1作用下的不平衡下滑力P2,作为第2块土条与第3块土条之间的推力。依此计算到第n块(最后一块),如果该块土条在原有荷载及推力Pn-1作用下,求得的推力Pn刚好为零,则所设的Fs即为所求的安全系数。如Pn不为零,则重新设定Fs值,按上述步骤重新计算,直到满足Pn=0的条件为止。
一般可取3个Fs同时试算,求出对应的3个Pn值,作出Pn~Fs曲线,从曲线上找出Pn=0时的Fs值,该Fs值即为所求。

在工程单位常用的简化方法:
即对每一块土条用下式计算不平衡下滑力:
不平衡下滑力=下滑力×Fs-抗滑力
由此,可改写为:

求解Fs的条件仍是Pn=0。由此可得出一个含Fs的一次方程,故可以直接算出Fs而不用试算。所得结果与前述复杂的试算方法有时相差不大,但计算却大为简化了。

优点:传递系数法能够计及土条界面上剪力的影响,计算也不繁杂,具有适用而又方便的优点,在我国的铁道部门得到广泛采用。
不足:但传递系数法中Pi的方向被硬性规定为与上分块土条的底滑面(底坡)平行,所以有时会出现矛盾,当α较大时,求出的Fs可能小于l。同时,本法只考虑了力的平衡,对力矩平衡没有考虑,这也存在不足。
尽管如此,传递系数法因为计算简捷,在很多实际工程问题中,大部分滑裂面都较为平缓,对应垂直分界面上的c、 值也相对较大,基本上能满足要求,对Fs影响不大。所以,该方法还是为广大工程技术人员所乐于采用。




