单平面滑动边坡稳定性分析
上一节
下一节
指边坡破坏时其滑裂面近似平面,在断面上近似直线。
能形成直线破裂面的土类包括:均质砂性土坡;透水的砂、砾、碎石土;主要由内摩擦角控制强度的填土。
1、仅有重力作用时
滑动面上的抗滑力
![]()
滑动力

稳定性系数


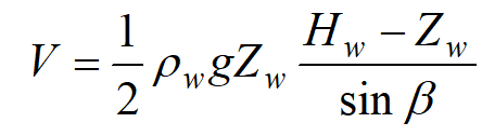
2、有水压力作用
作用于CD上的静水压力V

作用于AD上的静水压力U为

边坡稳定性系数为


3、有水压力作用与地震作用
水平地震作用

边坡的稳定性系数


4、存在地下水渗流作用时
(1)水下部分岩土体重度取浮重度;
(2) 第 i 计算条块岩土体所受的动水压力 Pwi按下式计算:

(3)动水压力作用的角度为计算条块底面和地下水位面倾角的平均值,指向低水头方向。



