拓展资料
-
1 知识结构图
-
2 教学设计
-
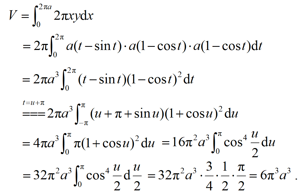
3 柱壳法求体积
-
4 极坐标系求面积
-
5 旋转曲面的面积
-
6 6.1PPT
-
7 阿基米德螺线
-
8 摆线
-
9 笛卡儿叶形线
-
10 心脏线
-
11 星形线
-
12 四叶玫瑰线
-
13 摆线参数方程
-
14 椭圆参数方程
-
15 三叶玫瑰线
上一节
下一节






















