拓展资料
-
1 知识结构图
-
2 导数起源
-
3 指数函数的导数
-
4 对数函数的导数
-
5 连续与可导
-
6 导数的四则运算
-
7 基本导数公式
-
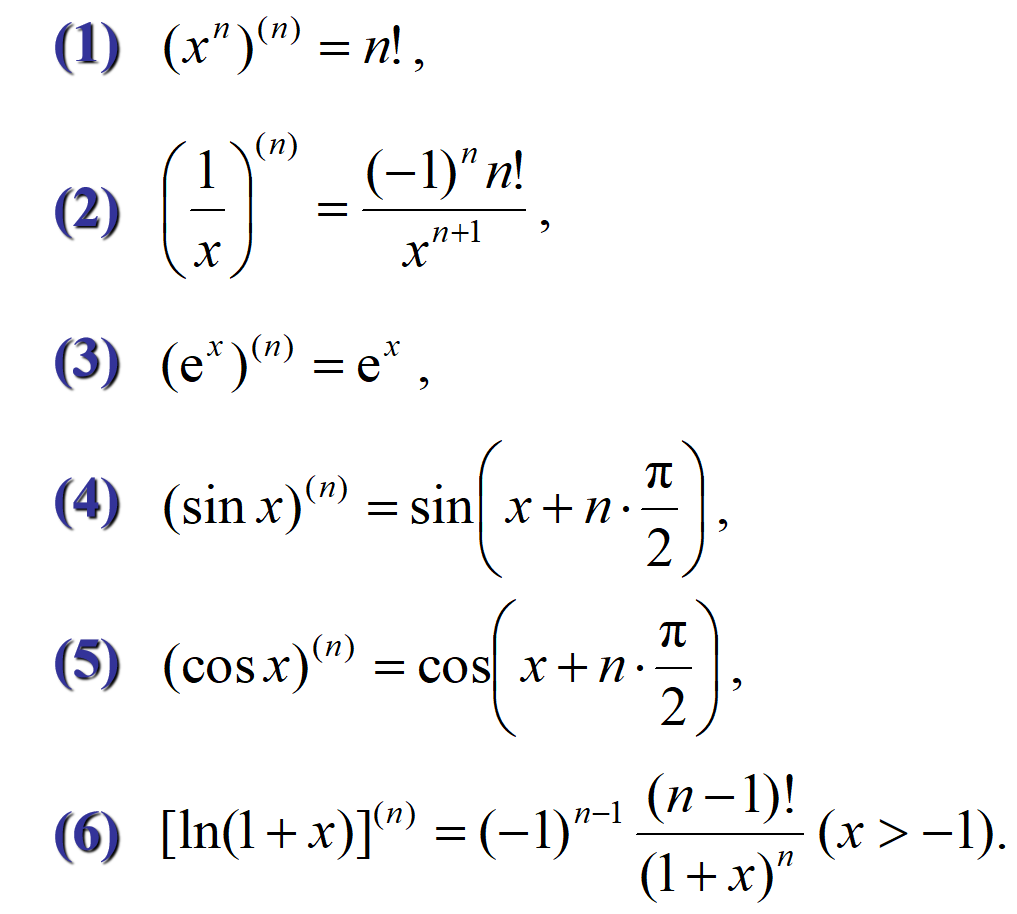
8 几个常用的高阶导...
-
9 乘积的高阶导
-
10 微分应用
-
11 2.1PPT
-
12 2.2PPT
-
13 2.3PPT
-
14 2.4PPT
-
15 2.5PPT
-
16 2.6PPT
上一节
下一节














