信息的度量
上一节
下一节


香农对信息的定义:
自信息量:
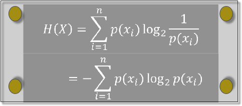
信息熵:




信息度量的应用实例
数据分析: 下表是一家智能租车公司收集的历史用户租车的记录数据,根据收集的数据,分析出用户在什么情况下会用车,并在相应时候通过手机应用或者短信推送促销信息。
历史用户租车的记录数据(局部引用)

提示:构建决策树
方案一:以“天气”为树根


分别计算三种情况的信息熵
方案二:以“衣着”为树根


分别计算两种情况的信息熵
两种决策树比较后得出结论。



