连串反应特性与反应器选型
上一节
下一节
2.3 连串反应特性与反应器选型
连串反应是指反应产物能进一步反应成其它副产物的过程。
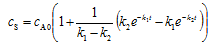
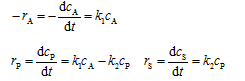
作为讨论的例子,考虑下面最简单型式的连串反应(在等温、恒容下的基元反应):

在该反应过程中,目的产物为P,若目的产物为S则该反应过程可视为非基元的简单反应。
三个组分的生成速率为:
由于总摩尔数没有变化,所以 cA0=cA+cP+cS 
组分A、P、S随时间的变化关系以浓度-时间标绘得图
由图可求中间产物P浓度的最大值及其位置。
如何提高目的产物的收率,应尽可能使k1/k2比值增加,使cA浓度增加,cP浓度降低。
反应速率常数k与浓度无关,只有改变温度能够影响k1/k2。
当生成中间产物的活化能E1大于进一步生成副产物活化能E2(即E1>E2)时,升高温度对生成中间目的产物是有利。当生成中间产物的活化能E1小于生成副产物活化能E2(即E1<E2)时,降低温度对生成中间目的产物是有利。与平行反应一致。
提高cA浓度,降低cP浓度,有利于提高瞬间选择性,显然平推流反应器(或间歇反应器)比全混流反应器易满足这一条件,应选用平推流反应器。
全混流反应器的计算(计算最佳空间时间τop和相应的cPmax值)。
一、 多种反应器的计算
仍讨论这一典型的一级恒容反应过程。在平推流及全混流反应器中,任取一微元体,对A组分进行物料衡算
教学后记:

