2.3 平行反应特性与反应器选型
反应物能同时进行两个或两个以上的反应,称为平行反应。
一般情况下,在平行反应生成的多个产物中,只有一个是需要的目的产物,而其余为不希望产生的副产物。在工业生产上,总是希望在一定反应器和工艺条件下,能够获得所期望的最大目的产物量,副产物量尽可能小。
考虑下列等温、恒容基元反应:
A→P(目的产物)
A→S(副产物)
反应物A的消耗速率为:
产物P、S的生成速率为: 
当两个反应都是一级时,可以积分求得并作图:

一、 平行反应的选择性
平行反应是一种典型的复合反应,流动状况不但影响其所需反应器大小,而且还影响反应产物的分布。优化的主要技术指标是目的产物的选择性。
1、 选择性、收率定义
(目的产物)
(副产物)
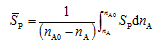
平均选择性:

式中 (ΔnA)P、(ΔnP)为生成目的产物P消耗的A量和生成目的产物P的量。
收率y:
三者关系:
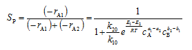
瞬时选择性SP:
2、 瞬时选择性与平均选择性的关系
对平推流或间歇反应器 
对全混流反应器 
对N个串联的全混流反应器 
3、 影响瞬时选择性的因素
为了增加目的产物的收率,必须从反应器选型及工艺条件优化来提高瞬时选择性。

a. 温度对选择性的影响(浓度不变时)
①当El>E2时,E1-E2>0,随着温度的上升,选择性SP上升,可见高温有利于提高瞬时选择性;
②当E1<E2时,E1-E2<0,随着温度的上升,选择性SP下降,可见降低温度有利于提高瞬时选择性。
总之,升高温度对活化能大的反应有利,若主反应活化能大,则应升高温度,若主反应活化能低,则应降低温度。
b. 浓度对选择性的影响(温度不变时) 当主反应级数大于副反应级数,即a1>a2,bl>b2时,升高浓度,使选择性增加,若要维持较高的cA、cB,则应选择平推流反应器、间歇反应器或多釜串联反应器。
例题讲解。

