两个随机变量的函数的分布
上一节
下一节
两个随机变量的函数的分布
【二维离散型随机变量函数的分布】
【连续型随机变量和的分布】
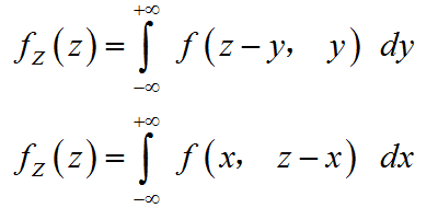
定理:设(X,Y)概率密度为 f (x,y),则随机变量Z=X+Y 的概率密度为:

【连续型随机变量和的分布 例题】
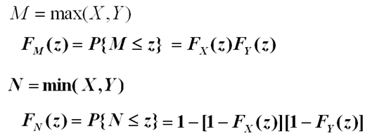
【M=max{X,Y}及N=min{X,Y}的分布】


