问题引入
将一枚硬币抛掷两次,观察正面和反面出现的情况。设事件A为“至少有一次为H”,事件B为“两次都是同一面”。现在来求P(B|A)=?
解:样本空间S={HH,HT,TH,TT},A={HH,HT,TH},B={HH,TT}。
分析:已知事件A发生,则“TT”不可能发生,因此,试验所有可能的结果组成的集合就是A,A等价于样本空间S。 在A发生的条件下B发生,记为 (B|A),该事件只包含一个结果“HH”,故其概率为P(B|A)=1/3。
进一步分析:易知P(B)=2/4,P(B|A)=1/3,
P(A)=3/4, P(AB)=1/4, P(B|A)=(1/4)/(3/4).
即: =
对一般的古典概型,上式都成立。
设基本事件总数为n,A包含的基本事件数为m, AB包含的基本事件数为k, 则:
=
【条件概率】
设A, B是两个事件,且 P(A)>0, 称
=
为事件A发生的条件下事件B发生的条件概率。
【乘法公式】
【全概率公式】
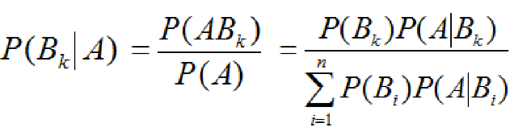
【Bayes公式】
【全概率公式与Bayes公式 例题】
排列组合有关知识复习
乘法原理:如果一个过程分两个阶段进行,第一个阶段有m种不同的做法,第二个阶段有n种不同的做法,且第一个阶段的任意一种做法都可以与第二个阶 段的任意一种做法相配合,则整个过程有m*n种的做法。乘法原理在排列和组合的问题中被广泛的使用。
加法原理:如果完成一个过程有n类方法,第一类方法有
种不同的做法,第二类方法有
种不同的做法,……第n类方法有
种不同的做法,则完成这一过程有
+
+……+
种做法。加法原理在概率问题中被广泛的使用。
排列:从n 个不同的元素中取出r个(不放回地)按一定的次序排成一排不同的排法共有
![]()
全排列:
可重复排列:从n 个不同的元素中可重复地取出r个排成一排, 不同的排法有
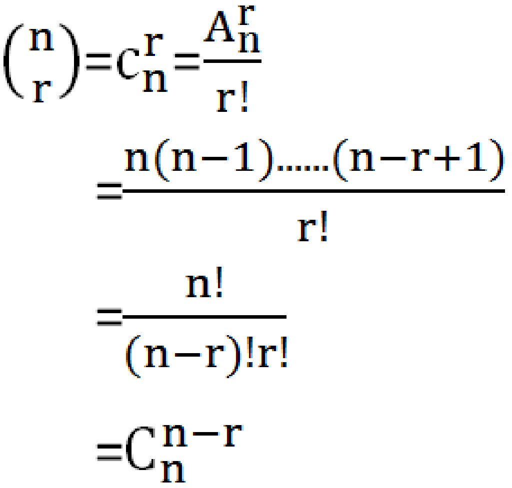
种组合:从n 个不同的元素中取出m 个(不放回地)组成一组,不同的分法共有

定义:

乘法公式:

全概率公式:

贝叶斯公式:


