8.2 原电池和电极电势
第8章 氧化还原反应8.2.ppt(下载附件 4.38 MB)


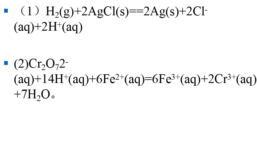
8.2.1 原电池







富勒烯
富勒烯的主要发现者们受建筑学家巴克敏斯特·富勒设计的加拿大蒙特利尔世界博览会球形圆顶薄壳建筑的启发,认为C60可能具有类似球体的结构,因此将其命名为巴克明斯特·富勒烯(buckminster fullerene),简称富勒烯(fullerene)。为此,克罗托、科尔和斯莫利获得了1996年度诺贝尔化学奖。一个潜在应用是做纸电池,这是2007伦斯勒理工学院的一个新发现。另外一个可能应用是用做太空电梯的高强度碳缆。

石墨烯
石墨烯(Graphene)是一种由碳原子构成的单层片状结构的新材料。是一种由碳原子以sp2杂化轨道组成六角型呈蜂巢晶格的平面薄膜,只有一个碳原子厚度的二维材料。石墨烯一直被认为是假设性的结构,无法单独稳定存在,直至2004年,英国曼彻斯特大学物理学家安德烈·海姆和康斯坦丁·诺沃肖洛夫,成功地在实验中从石墨中分离出石墨烯,而证实它可以单独存在,两人也因“在二维石墨烯材料的开创性实验”为由,共同获得2010年诺贝尔物理学奖。手机充电仅需几秒?手机屏幕能折叠弯曲?……这些或许都将因为有“21世纪神奇材料”之称的石墨烯面世而成为可能。石墨烯:神奇的“新材料之王” “它是迄今为止自然界最薄、强度最高的材料,可以被无限拉伸,弯曲到很大角度不断裂,还可以抵抗很高的压力。” 石墨烯还有着非同寻常的导热性和导电性。
“石墨烯导电率高,化学结构又十分稳定,是一种用于移动电池、电源很理想的电极材料。”
例,将下列反应设计成原电池,并写出其原电池符号








