2.4 元素周期系和元素基本性质的周期性
![]()
![]()
元素周期律
第2章-原子结构和元素周期律.ppt(下载附件 5.92 MB)
——元素周期律是指元素性质随核电荷数递增发生周期性的递变
——元素原子核外电子排布的周期性变化是导致元素性质周期性变化的根本原因。
金属性与非金属性
元素的主要化合价;
原子半径;
元素第一电离能;
电负性。
![]()
元素周期表的编排原则:
⑴ 按原子序数的递增顺序从左到右排列
⑵ 将电子层数相同的元素排列成一个横行(周期)
⑶ 把最外层电子数相同的元素按电子层数递增的顺序从上到下排成纵行。(族)
![]()



1s;2s 2p;3s 3p;4s 3d 4p;5s 4d 5p; 6s 4f 5d 6p;7s 5f 6d
请写出ⅠA和零族的简化电子排布式:

1、周期的划分
1)除第一周期外,各周期均以填充 s 轨道的元素开始, 并以填充满p 轨道的元素告终.

外围电子数有1
8个
2)周期元素数目=相应能级组中原子轨道所能容纳的电子总数

3)元素所在周期的判断:周期数=电子层数
随着原子序数的增加,元素原子的外围电子排布呈现周期性的变化:
每隔一定数目的元素,元素原子的外围电子排布重复出现从ns1到ns2np6的周期性变化。

1)外围电子结构相同
2)元素所在族的判断:
①主族元素:
主族序数=外围电子数=最外层电子数(ns+np或ns)
②副族元素:
以外围(n-1)d+ns的电子总数判断
A、ⅢB~ⅦB ,电子总数为3~7
B、 Ⅷ ,电子总数为8~10
C、 ⅠB和ⅡB,电子总数为11~12
思考与探究
按照电子排布,可把周期表的元素划分为5个区:s区、d区、ds区、p区、f区。划分区的依据是什么?

3、区的划分
区的名称来自按照构造原理最后填充的能级的符号

![]()

ns2 np1~6
最后1个电子填充在ns轨道上,价电子的构型是ns1或ns2,位于周期表的左侧,包括ⅠA和ⅡA族,它们都是活泼金属,容易失去电子形成+1 或+2价离子。
![]()

ns2 np1~6
最后1个电子填充在np轨道上,价层电子构型是ns2np1~6,位于周期表右侧,包括ⅢA~ⅦA族及0族稀有气体元素。大部分为非金属。
s区和p区的共同特点是:
最后1个电子都排布在最外层,
最外层电子的总数等于该元素的族序数,s区和p区就是按族划分的周期表中的主族和0族。


(n-1)d1~9ns1~2
它们的价层电子构型是(n-1)d1~9ns1~2,最后1个电子基本都是填充在倒数第二层
(n-1)d轨道上的元素,位于长周期的中部。这些元素都是金属,常有可变化合价,称为过渡元素。它包括ⅢB~ⅦB族和Ⅷ族元素。


(n-1)d10ns1~2
价层电子构型是(n-1)d10ns1~2,即次外层d轨道是充满的,最外层轨道上有1~2个电子。它们既不同于s区,也不同于d区,故称为ds区,它包括ⅠB和ⅡB族,处于周期表d区和p区之间。它们都是金属,也属过渡元素。


(n – 2)f0~14(n-1)d0~2ns2
最后1个电子填充在f轨道上,价电子构型是:(n – 2)f0~14(n-1)d0~2ns2,它包括镧系和锕系元素(各有15种元素)。
元素的外围电子构型与其在周期表中的位置的关系
外围电子构型中无d电子的为
主族和0组 元素,分布在 s 区、 p 区;若有d电子的则为过渡元素,包括 副 族、 VIII 族,分布在 d 区、 s 区

小结各区元素特点

思考:为什么s区、d区、ds区的元素都是金属(除H外)?
s区、d区、ds区的元素最外层电子数为1-2个电子,在反应中易失去,所以都是金属。
为什么副族元素又称为过渡元素?
副族元素处于金属元素向非金属元素过渡的区域,因此,又把副族元素称为过渡元素。
为什么在元素周期表中非金属元素主要集中在右上角三角区内(如图)?处于非金属三角区边缘的元素常被称为半金属或准金属。为什么?
这是由元素的价电子结构和元素周期表中元素性质递变规律决定的,在元素周期表中,同周期的元素从左到右非金属性渐强,同主族元素从上到下非金属性渐弱,结果使元素周期表右上角的元素主要呈现非金属性。
处于非金属三角区边缘的元素既能表现出一定的非金属性,又能表现出一定的金属性,因此,这些元素常被称之为半金属或准金属。
课堂小结
一、原子结构与元素周期表
1、原子的电子排布与周期的划分
周期序数=电子层数
2、原子的电子排布与族的划分
主族元素:族序数=原子的最外层电子数
=价电子数 副族元素:大多数族次=(n-1)d + ns的
电子数=价电子数(d全满除外)
3、原子的电子构型和元素的分区
5个区:s区、d区、ds区、p区、f区。
![]()
原子参数:原子半径、电离能、电子亲和能和电负性等。
元素的性质可以通过原子参数来描述。
(1)原子半径
按照量子力学,电子在核外运动没有固定的轨道,只是在各处概率分布大小不同。因此,原子核外电子云没有明显界面。
通常原子半径是指:相邻原子的平均核间距
根据原子与原子之间作用力不同,人为规定:共价半径,范德华半径,金属半径。
①共价半径:2个相同原子形成共价键时,其核间距离一半。
②范德华半径:单质形成的分子晶体中,分子之间是以范德华力结合的,2个相邻原子核间距离一半,例如,稀有气体分子。
③共价半径:金属单质晶体中,2个相邻金属原子核间距离一半 。
原子半径取决于电子层数和核电核数,同一周期自左到右,原子半径逐渐减小。过渡元素原子半径减小缓慢,“镧系收缩”导致“共生”现象。元素之间的爱情故事。
1. 原子半径的周期性变化
原子半径的大小取决于_电子层数_____、__核电荷数____ 两个因素;电子层越多,电子之间的负电排斥使原子半径_增大____ ;核电荷数越大,核对电子的引力越大,将使原子半径_缩小____。

思维拓展:微粒半径的比较方法
⑴首先看微粒的电子层数,电子层越多则微粒半径越大;
⑵电子层数相同时再看微粒的核电荷数,核电荷数越大则微粒的半径越小;
⑶电子层数和核电荷数都相同,则看最外层电子数。最外层电子数多,半径大。反之,半径小。
2. 元素电离能及其周期性变化
第一电离能:
M(g) - e- →M+(g)
意义:可以衡量元素的原子失去一个电子的难易程度.第一电离能数值越小,原子越容易失去一个电子.
M(g)-e- → M +(g) I1
M +(g)-e- → M 2+(g) I2
一般 I3> I2 > I1
递变规律
(1) 同周期:从左向右,r↓,电离能↑
![]()
(2) 同族:主族:从上到下 r↑ I↓
副族:从上到下 I↓ 变化不规则
元素的第一电离能大致有何周期性?

同一周期:由左至右大致增大
同一主族:由上至下大致减小
学与问
碱金属的电离能与碱金属的活泼性存在什么联系?
第一电离能越小,越容易失去电子,金属的活泼性越强。因此,碱金属的第一电离能越小,金属的活泼性越强。
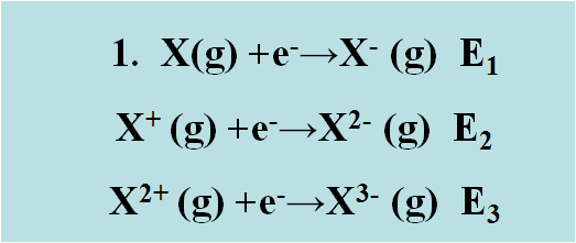
3. 电子亲合能(E)
(1).电子亲合能是指一个气态原子得到一个电子形成气态负离子所放出的能量。

同一元素: E1为负,E2,E3为正
意义:衡量元素非金属性强弱的尺度
2). 影响因素: z*, r和电子层构型
3).递变规律
同周期:从左向右,r↓,E↑
同族:主族:从上到下 r↑ E↓
同族第三周期元素:E最大
4. 元素电负性及其周期性变化
一般情况下,活泼非金属元素与活泼金属元素以离子键结合形成离子化合物,非金属元素之间以共价键结合形成共价化合物。
成键原子之间是形成离子键还是形成共价键,主要取决于成键原子吸引电子能力的差异。
为了比较元素的原子吸引电子能力的大小,美国化学家鲍林于1932年首先提出了用电负性来衡量元素在化合物中吸引电子的能力。经计算确定氟的电负性为4.0,锂的为1.0,并以此为标准确定其它与元素的电负性。

电负性递变的规律
同一周期,主族元素的电负性从左到右逐渐增大,表明其吸电子的能力逐渐增强(非金属性,氧化性增强)。
同一主族,元素的电负性从上到下呈现减小的趋势,表明其吸引电子的能力逐渐减弱(金属性、还原性增强)

电负性的应用:
1、判断元素金属性和非金属性的强弱
金属的电负性一般小于1.8,非金属的电负性一般大于1.8,而位于非金属三角区边界的“类金属” (如锗、锑等)的电负性则在1.8左右,它们既有金属性又有非金属性。
2、判断化学键的类型
一般认为,△电负性>1.7,形成离子键
△电负性<1.7,形成共价键
3、判断化合物中元素化合价的正负
电负性大的元素显负价
电负性小的元素显正价
END

