喷油控制策略
上一节
下一节


问题:电脑是如何控制喷油量的呢?
————控制喷油器的喷油脉宽

喷油量的控制
实际喷射持续时间=基本喷射持续时间×修正系数+无效喷射持续时间
(1)起动时喷油量的控制
(2)起动后喷油量的控制
无效喷射持续时间:
蓄电池电压越大,无效喷射持续时间越短,应减小喷油脉冲宽度。
起动时喷油量的控制

起动时过热加浓

起动后喷油量的控制

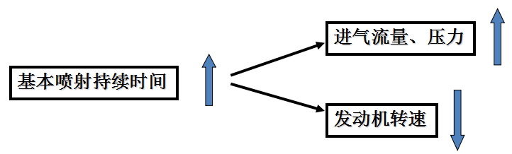
基本喷射持续时间:
![]()
![]()
从起动后持续到水温正常;修正系数随水温的升高而衰减。


![]()
在怠速和部分负荷,采用空燃比闭环控制。空燃比在14.7。

![]()
为了获得较大功率,供给功率混合气,空燃比在12.5左右。

![]()
汽车起步,加速超车,启用空燃比开环控制。负荷变化率(节气门开度变化速度)越大,加浓量越大


![]()
在减速工况,为了防止混合气过浓,采用空燃比开环控制,供给较稀混合气,负荷变化率越大,减油量越大。

![]()
减速断油:发动机在某一高转速,节气门突然关闭,急减速断油;当发动机转速降至某一转速时或节气门打开,恢复供油。
超速断油:为了保证安全,发动机转速和车速超过某一最高速度时,断油。
清除溢流:起动时断油,清除溢流。
减转矩断油:自动变速器自动升档时,变速器ECU向发动机ECU发出信号,中断个别缸喷油,降低转速,平稳换档;换档后恢复供油。
缺火断油:ECM检测到某缸火花塞不点火,为了保护三元催化转换器,将该缸喷油器断油。

