阅读方差分析的由来,思考:单因素完全随机方差分析、单因素随机区组完全随机化方差分析、两因素完全随机方差分析、两因素重复测量方差分析、混合设计的F值的分子和分母分别是什么?
来源:微信公众号马同学图解数学
1 费希尔的简介
罗纳德·艾尔默·费希尔爵士(英语:Sir Ronald Aylmer Fisher,1890-1962,),英国统计学家、演化生物学家与遗传学家。现代统计学与现代进化论的奠基者之一。安德斯·哈尔德称他是“一位几乎独自建立现代统计科学的天才”:

方差分析、F分布,都是费希尔的贡献,这些统计方法可以说完全改变了人类进行科学研究的方式方法。
2 耙粪堆
1919年,罗森斯得农业实验站的主任约翰·拉塞尔爵士发出了邀请,希望费希尔来查看下该实验站历年收集的数据中到底藏有什么秘密(下图是罗森斯得农业实验站):

由于种种原因,费希尔的生活并不顺利,看在一年1000英镑的份上,费希尔带着他的家人,来到了这个伦敦以北的农业地区,蹬上靴子,穿过农田,取出巨大库房中、堆积如山的、积累了90年的数据,开始了他所谓的“耙粪堆”的工作。

然后在收获后对数据进行采样,看不同实验组的产量是否不同。
3.1 两个问题
费希尔也知道,马铃薯不是什么工业产品,本身产量就会有波动,肯定不能说某个实验组产量多了 20% 就说该组施用的混合肥料有效果,至少需要考虑以下两个问题:
(1)概率。马铃薯的产量 X 本身具有随机性,比如说服从某正态分布:
根据该分布,产量在-20%-20%之间波动可能性较大,因此如果某实验组产量多了20%,并没有把握说混合肥料产生了效果(因为不可能知道所有马铃薯的产量,所以无法真正算出 μ, 也就不可能真正知道该正态分布
,因此用虚线画出):

而产量在50%之上的波动可能性较小,因此如果某实验组产量多了50%,那么说明混合肥料可能真的产生了效果:
(2)原因。马铃薯的产量X如果是随机波动,那么应该是有增有减的。比如从某个实验组中采样得到五株马铃薯,记录每株的重量,得到五个点。算出该实验组的平均产量
相对于μ增加了20% ,并且五个点相对于μ有增有减,分散在
的四周,这就说明重量变化是由于随机波动造成的:

如果某个实验组平均产量
相对于μ还是只增加了20%, 但组内所有的马铃薯植株上的产量都是增加,紧密的围绕在
的附近,那么说明混合肥料可能真的产生了效果,造成组内所有马铃薯的重量都增加了:

就此,费希尔设计了 组内方差 这个统计量,当组内方差较小的时,说明该试验组的普遍增产(或减产),也说明混合肥料可能真的产生了效果(组间方差、组内方差这两个统计量接下来会进一步介绍)。
3.2 假设检验
综合上面两个问题,费希尔设计了一个假设检验(关于假设检验,可以参考这里):
假设:混合肥料没有效果,也就是各个实验组的产量的均值相同
检验:设计了
这个统计量,当实验组得到的数据使得该统计量足够大时,那么就可以推翻上述假设,得到混合肥料有效果的结论
从抽样到计算完成该假设检验,就称为 方差分析 。

根据上面表格,画出来的图像是这样的:

可以看出:
发生了低概率事件,即 A 组的样本均值
远离μ原因很可能是由于混合肥料导致,因为 A 组整体都增产了,而不是随机波动
所以是很有把握认为这三组产量不同,并且是由于混合肥料导致的。当然上面是定性分析,下面看看如何定量分析。
4.1 组间方差
首先需要知道发生了低概率事件,即是否有某组(在本例中是 A 组)的样本均值远离μ 。因为μ是没有办法真正知道的,实际计算时只能用所有样本的均值
来代替(本例中就是15株马铃薯的均值),然后计算各个实验组的样本均值与
的距离,累加起来就得到了组间方差:

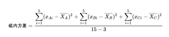
4.2 组内方差
将各个实验组的方差加起来就得到了组内方差(其中也多了些常数,暂时可以不用管):

其中
就是各组内的某株马铃薯的重量。组内方差越小,说明各个实验组变换越一致,越有可能是由混合肥料导致的。
4.3 统计量构造
费希尔接着构造了
这么一个统计量,它综合了“概率”和“原因”这两个角度。为了说明这点,我们又对之前的 A、B、C 三组进行了多次实验,得到不同的组间方差、组内方差:

解读下:
第一行,组间方差大,说明可能发生了低概率事件;组内方差小,说明组内变化可能一致。本文的例子算出来就是该行。那么有充分的理由相信,这三组中其中某组(也可能是某两组、某三组)的产量有所不同,并且这种不同很可能是由于混合肥料造成的
第二行,组间方差一般大,组内方差也是一般大,没有充分的理由相信这三组是不同的,保守一点,我们判断这三组是相同的
第三行,组间方差足够小,说明可能没有发生低概率事件;组内方差足够大,说明可能组内的变化不一样。那么还是保守地判断这三组是相同的
可见统计量
越大,那么三组不同的可能性越大。那具体要大到什么程度,才有把握说三组是不同的呢?这就需要F分布进行最后的检验(F就是Fisher的首字母,所以你也可以称之为费希尔分布)。
4.4 F分布
可以证明,满足某些条件的情况下(比如总体和样本都是正态分布),统计量
是服从F分布的:此时,当
的值足够大,大到落入F分布的右边区域(也称为拒绝域)时,就有把握说三组是不同的:

至此就完成了假设检验,也就是完成了方差分析:
假设:混合肥料没有效果,也就是各个实验组的样本均值相同
检验:计算统计量
的值,如果所得值落入F分布的拒绝域,那么就拒绝原假设,否则就接受。

