阅读后思考:结合本章所学的百分位数、百分等级、Z分数,如何理解分数相对位置的重要性?
1.高考志愿填报看分数还是排位?
每年的高考试题的难度是不同的,题难一点,整体的高考成绩就会低一些。题简单了,高考成绩就高一些。
也就是说高考成绩他每年都是会上下浮动的,但是各个大学的实际录取的水平,录取学生的这个层次,它是相对固定的。
比如说清华北大每年就是录取各个省份前100名的考生,如果说今年题难,第100名的分数是650分,那么今年的录取线就有可能在这个省份是650,如果题简单那第100名是700分,那这个700分就有可能是他今年的录取线。
所以无论怎样,清华北大要的就是每个省份前100名的人。哪怕你的分数是400分,但是你能够排进前100,清华北大也是照样录取你。
全国3000多所大学,每所大学其实都是按照对应的位次关系去进行录取的,这就是为什么每年院校的实际录取分数段要等到实际的录取工作结束之后才会向社会公布的原因,也是为什么你有时候发现同一所学校面向不同的省份它的录取线截然不同。
作者:初心
链接:https://www.zhihu.com/question/608464707/answer/3099784210
来源:知乎
2.高考分数相同、位次也相同吗?
大家都清楚,在高考中,一共只有0-750这700多个分数段的分数线,而每个省市考生人数动不动就是十几万、几十万,即使是平均分配到这700多个分数中去,每个分数也有几十、上百个同分的考生,更何况在分数集中的位置,可能上千人。
比如2022年重庆高考物理类考生中,650分的考生有37人、651分的考生有53人,而500分的考生有536人、499分的考生有513人,这只是重庆,今年参考总人数只有18.4万考生的情况下的数据。如果我们换成不分文理科、也不分物理与历史的山东高考,650分的考生有101人、651分的考生有96人,而500分的考生则达到了2318人、499分考生也有2306人,人数最密集的467分考生达到2552人。从上面的实例中我们可以看到,同一个分数的考生,如果位次相同,那么高考录取如何进行?平行志愿就只能成为废纸了。
对于同分的考生,要想让高考录取过程中的平行志愿录取规则有效实施,那么只有将他们再一次进行排位,直到最后实现每一个考生都有一个独立的排位(名次),实现“同分不同位”,才能让平行志愿录取有效实施。所以,同分肯定不会同位。
总位次是这样排序的: 先看总成绩 ①高考总成绩相同时,语文+数学总成绩高的在前 ②语文+数学总成绩也相同时,语文or数学单科成绩高的在前 ③语文or数学单科最高成绩相同时,外语单科成绩高的在前 ④外语成绩仍相同时,选考科目单科最高成绩高的在前。
3.新高考成绩计分规则
3+3(2020年起,山东夏季高考采取3+3模式,总分750分,其中第一个3为语文、数学、外语三门统考科目,采用全国卷,每门150分,第二个3为3门等级考试科目,每门100分,从思想政治、历史、地理、物理、化学、生物6个科目中自主选择3个科目参加等级考试。)或3+1+2模式(新高考考生总成绩由3门统一高考成绩和3门普通高中学业水平选择性考试成绩构成,满分750分。其中,3门统一高考科目使用原始成绩计入考生总成绩,每门满分150分;选择性考试中首选科目(物理或历史)使用原始成绩计入考生总成绩,每门满分100分;再选科目按等级分计入考生总成绩,每门满分100分。)
根据《山东省人民政府办公厅关于印发山东省深化高等学校考试招生综合改革试点方案的通知》(鲁政办发〔2018〕11号)精神,依据等级分数转换的基本原则,制定普通高中学业水平等级考试科目分数转换技术实现方案,以原始分数从高到低的顺序计算分数分段比例,根据规定转换分数区间比例(3%、7%、16%、24%、24%、16%、7%、3%),划分A、B+、B、C+、C、D+、D、E八个等级,在每个等级中按照等比例转换法则进行分数转换。
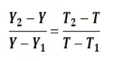
等级转换的具体公式:

其中:
Y1、Y2分别表示原始分区间的下限和上限;
T1、T2分别表示转换分区间的下限和上限;
Y表示原始分;
T表示转换分。
考虑到高考分数都以整数呈现,故上述公式的计算结果需要进行“四舍五入”处理。

假设小淘同学政治学科原始分为75分,
再假设政治学科B等级原始分区间为【82~70】,
则小淘同学政治学科为B等级;
根据上面公式,计算出小陶政治学科转化后的分数为多少?

