-
1 实验概况
-
2 数据记录
-
3 视频(岗集)
-
4 视频(黄麓)
用牛顿环测量透镜的曲率半径
牛顿环又称“牛顿圈”,是物理学家牛顿在1675年观察到的一种光的干涉现象,“牛顿环”是用分振幅方法实现的等厚干涉现象.它是一些明暗相间的同心圆环。在工业测量中有广泛的应用,如测量光波的波长、检测光学元件表面加工质量、测量液体、气体折射率等。
实验目的:
1、观察等厚干涉现象,加深对光波动性的理解
2、掌握用牛顿环测定透镜曲率半径的方法
3、学会调整和使用读数显微镜
实验仪器:
牛顿环装置(其中透镜的曲率未知)、钠光灯、读数显微镜。

测量牛顿环的直径:
读数装置:记录的位置坐标,与我们高中时所学的螺旋测微器原理是一样的,
首先我们注意一下,测微鼓轮有100小格,当转动一周时,主尺上恰好移动一个小格,主尺上的一个小格是1mm,所以测微鼓轮每一个小格代表的是0.01mm,位置坐标等于主尺上的整数部分+测微鼓轮上的小数部分(注意要估读一位)。
将一块曲率半径较大的平凸透镜的凸面放在一个光学平板玻璃上,使平凸透镜的凸面与平面玻璃相切于O点,组成牛顿环装置,则在平凸透镜凸面与平板玻璃之间形成一个以接触点O为中心向四周越来越厚的空气膜。
这是实物装置,我们需要对牛顿环装置进行调整,用眼睛在牛顿环装置上方观察,轻轻对牛顿环装置框架螺钉进行调节(切勿用力过大,以免损坏透镜)。使接触点O处于牛顿环装置中心,注意螺钉不可旋转过紧,以免接触压力过大引起透镜弹性形变,甚至损坏透镜。
实验原理:

当单色平行光垂直入射时,一部分光束在AOB面上反射,一部分继续前进,到COD面上反射。这两束反射光在AOB面附近相遇,互相干涉,形成明暗相间的条纹。由于AOB面是球面,与O点等距的各点对O点是对称的,因而上述明暗条纹排成如图所示的明暗相间的圆环图样,在中心有一暗点(实际观察是一个圆斑),这些环纹称为牛顿环。
当光在空气膜的下表面反射时,由光疏介质进入光密介质,即在反射点处,则会发生相位突变,反射光的相位与入射光的相位之间相差p,与之对应的光程差为l/2,所以相干的两条光线还具有l/2的附加光程差



实验步骤:
调整读数显微镜
1.启动钠光灯电源。
2.调节目镜,看清目镜筒中的十字叉丝,当分划板上的十字刻线清晰可见时,并转动目镜,使十字叉丝的水平线与显微镜筒的移动方向平行。
3.等钠光灯电源稳定后,让读数显微镜上的45°半反镜对着钠光灯,然后调节反射片的倾斜度,得到黄色明亮的视场。
4.把牛顿环装置放到载物台中间,转动测微鼓轮:使显微镜筒平移至标尺中部,并调节调焦手轮,缓慢扭动调焦手轮,使反光镜接近牛顿环透镜组(不要相碰),缓缓转动调焦手轮,使显微镜自下而上缓慢地上升,直到看到清晰干涉条纹为止。然后再移动牛顿环装置,
5.轻轻地移动牛顿环装置的位置,使目镜中十字刻线交点与牛顿环中心大致重合。且当测微鼓轮转动移动叉丝时,叉丝与圆环相切。如叉丝倾斜可调节显微镜的目镜筒。调节后,在实验过程中不能再动牛顿环装置。
6.转动测微鼓轮,从环心(暗斑)开始,转动测微手轮。一边转动,一边数出暗纹的级数。让十字叉丝从中央缓慢向左(或向右)移至45环,然后反方向自45环向右(或向左)移动,当十字叉丝竖线与40环外侧相切时,记录读数显微镜上的位置读数,然后继续转动测微鼓轮,使竖线依次与35、30、25……5环外侧相切,并记录读数。
继续按原方向转动测微鼓轮,越过干涉圆环中心,记录十字叉丝与右边(或左边)第5--40环内切时的读数。依次填入到下面表格。
注意:测量时只往同一方向转动测微鼓轮,即我们所看到的十字叉丝只能往一个方向移动,从左侧40环到右侧40环(或者从右侧40环到左侧40环),以消除回程差,中途不可倒转。
操作后思考题
1.如何用此实验测量光的波长?
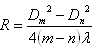
答:在牛顿环试验中,透镜的曲率半径设为R,则对于第k 级条纹,根据光的干涉条件,它应该满足一个等式,也就是D*D=4*k*R*波长。其中D就是第k 级条纹的直径。只要用牛顿环仪器测出条纹直径,就可以通过这个公式求出波长了。
2.如何用牛顿环来检查光学平板的平整度?
答:先将样板标准面和待检验平板表面擦干净,然后使这两个面紧密接触,并尽量排除两接触面之间的空气,然后从样板上方观察会发现彩色的光圈环带。图纸上应该有要求你做到几个光圈和几道局部光圈,然后就可以知道哪个地方高了哪个地方低了。




