现代混沌科学的诞生
Lorenz系统——大气动力学
美国麻省理工学院教授洛伦兹(Edward N. Lorenz)

1961年的某一天,洛伦兹在办公室里把一个数据输入到一台及其缓慢的Royal McBee计算机,企图重复验证上一次的计算结果。
他知道这需要等一个多小时,便踱进了旁边的一间小小咖啡馆……
Lorenz的意外发现
当他回到自己的工作室时惊讶地发现:这次的结果与上次的结果在开始时相同,但到后来却面目全非:

在第一次计算中,他输入的初始值是0.506127
在第二次计算中,他图省事,输入了0.506
由于“系统对初值的高度敏感”,一个微小的初始误差随着反复迭代计算会酿成结果的巨大差异
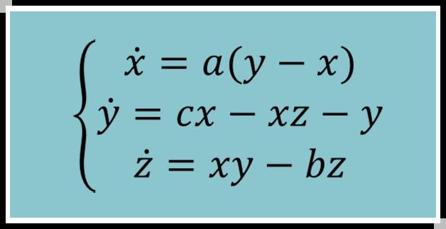
Lorenz系统
a=10, b=8/3, c=28 吸引子 Attractor -不发散 -不收敛 -非周期 |
|
E. N. Lorenz, Deterministic Nonperiodic Flow, Journal of the Atmospheric Sciences, 20:130-141,1963
他的结论是:由于天气观测中存在着不明显的不确定性和不完全性,非常长期的天气预报是不可能的。
现代混沌科学的奠基性论文
“Does the flap of a butterfly’s wing in Brazil set off a tornado in Texas?” —E. N. Lorenz
在巴西的一只蝴蝶拍打一下翅膀,会在德克萨斯引发一场龙卷风吗?

混沌运动
非线性确定性系统中, 由于系统内部非线性相互作用而产生的一种非周期行为。
对初始条件的敏感性 该特点形象的称为“蝴蝶效应”,这一性质使确定性系统表现出随机性,系统地长期预测不可能; |
有界性 混沌系统的轨道一直在被称之为混沌吸引子的有界区域内运动。 |
遍历性 混沌系统的运动是遍历的。如果在某一时刻,轨道通过吸引子内部的某一点的某一邻域,那么轨道还会再次通过该邻域。 |


