动力系统数值方法
上一节
下一节
动力系统的数值方法

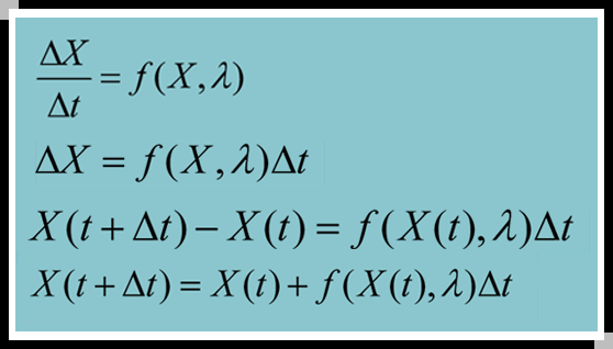
动力系统的离散化——欧拉方法

Berkeley Madonn软件网址:http://www.berkeleymadonna.com/

