一、混凝土和钢筋混凝土管涵
(一)涵管预制
(1) 预制长度1m/每节
(2) 预制混凝土圆管方法
a:振动制管法b:离心法c:悬辊法d:立式挤压法
(3)振动制管的模式
a外模固定,提升内模法.
b内模固定,提升外模法.
(二)管节运输与装卸
(1) 要结合质量标准,正确装卸
(2) 采用汽车和拖拉机拖车运输
(3) 采用龙门吊机,汽车吊机等装卸
(4)运输途中用宜铺稻草和圆木快木楔紧,绳索绑紧。
(三)管涵施工
1.管涵施工工序
(1)单孔有圬工基础管涵
①挖基坑并准备修筑管涵基础的材料;
②砌筑圬工基础或浇筑混凝土基础;
③安装涵洞管节,修筑涵管出入口端墙、翼墙及涵底(端墙外涵底铺装);
④铺设涵管防水层及修整;
⑤铺设涵管顶部防水粘土(设计需要时),填筑涵洞缺口填土及修建加固工程.
(2)有单孔无圬工基础管涵
①挖基备料与图20-6同,本图未示出;
②在捣固夯实的天然土表层或矿砂垫层上,修筑截面为圆弧状的管座,其深度等于管壁的厚度;
③在圆弧管座上铺设垫层的防水层,然后安装管节,管节间接缝宜留1m宽。缝中填塞防水材料;
④在管节的下侧再用天然土回砂砾垫层材料作陪填土,并捣实至设计高程,并切实保证陪填料与管节密贴。再将防水层向上包裹管节,防水层外再铺设粘质土,水平径线以下的一部分特别填土,应立即填筑,以免管节下面的砂垫层松散,并保证其与管节密贴;
⑤修筑管涵出入口端墙、翼墙及两端涵底和整修工作。
(3)双孔无圬工基础管涵
①挖基、备料与前同,本图未示出;
②在捣固夯实的天然土表层或砂垫层上修筑圆弧状管座,其深度等于管壁的厚度;
③先安装右边管并铺设防水层,在左边一孔管节未安装前,在砂垫层上先铺设垫底的防水层,然后按同样方法安装管节;
④在管节下侧用天然土回砂垫层材料作填料,夯实至设计高程,并保证其与管节密贴;
⑤修筑出入口两端端墙、翼墙及涵底和整修工作。
(4)涵底陡坡台阶式基础管涵
每段长度3~5m,台阶高差一般不超过相邻涵节最小壁的3/4。
(2)滚木安装法
(3)压绳下管法
(4)龙门架安装法
4.管节施工注意事项
(1)有圬工基础的管座混凝土浇筑时应与管座紧密相贴,浆砌快石基础应加做一层混凝土管座,使管涵受力均匀,无圬工基础的圆管基底应夯填密实,并做好弧形管座。
(2)无企口的管节接头采用顶头接缝,应尽量顶紧,缝宽不得大于25px,严禁因涵身长度不够,将所有接缝宽度加大来凑合涵身长度。管身周围无防水层设计的接缝,须用沥青麻絮或其他具有弹性的不透水材料从内、外仔细填塞。设计规定管身外围做防水层的,按前述施工程序施工。
(3)长度较大的管涵设计有沉降缝的,管身沉降缝应与圬工基础的沉降缝位置一致。缝宽为1~3m,应用沥青麻絮或其他具有弹性的不透水材料从内、外仔细填塞。
(4)长度较大、填土较高的管涵应设预拱度。
(5)各管节设预拱度后,管内底面应成平顺圆滑曲线,不得有逆坡。
二、混凝土和钢筋混凝土拱涵、盖板涵和箱涵
1、施工方法:现场浇筑和工地预制安装
2、预制构件结构要求:构件预制长度一般不小于1m,不宜太长。应设吊装孔,若采用钢丝绳捆绑起吊可不设。
3、预制构件常用模板:
4、构造:①翻转架木制和钢制
②模板底板、侧板、端板和芯板
5、制作要求
①场地要平整,铺一层7~250px厚的砂,摊铺均匀,砂湿度适中,含水量一般2%~6%。
②模板要端模和底模要对齐,固定,以免翻转松动。
③模板钢筋骨架宜用点焊,以防钢筋在翻动时错位。构件应使用硬性混凝土浇筑。
④翻转模板时位置要准确,不得用力过猛,当质量大,人力难以操控时,可利用滑轮。
⑤构件翻转后,应立即抽芯和拆模。拆模要小心,不要将构件菱角碰坏。
⑥拆模后,应立即将构件遮盖,进行养护。
6、构件运输
(1)近距离搬运
(2)远距离搬运
7、施工和安装
(一)基础、拱涵和盖板涵的涵台身
方法:采用就地浇筑
(二)上部构件的安装
(1)安装之前应检查构件尺寸、涵台尺寸和涵台间距离,并核对其高程,调整构件大小位置使与沉降逢重合。
(2)拱座接触面及拱圈两边均应凿毛(沉降缝处除外)并浇水湿润,用灰浆砌筑。
(3)构件砌缝宽度一般为25px,拼装每段的砌缝应与设计沉降缝重合。
(4)构件可用扒杆、链滑车或汽车吊进行吊装。
三、倒虹吸管
(一)使用范围
a:路线穿过沟渠,路堤高度很低或在浅挖方地段通过,填、挖高度不足,难以修建明涵时,或因灌溉需要,必须提高渠底高程。
b:形式:竖井出入口式
(二)施工布置和注意事项
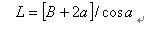
1、倒虹吸管总长确定
![]()
式中:L—倒虹吸管总长度,计算至竖井内壁边缘(m);
B—路基宽度(m);
a—进出水口竖井壁厚度(m);
b—路基边沟上口宽度(m);
c—井壁至边沟上口边缘的安全距离,一般c>0.25m;
α—虹吸管轴线与路线中线的垂线的交角.
![]()
2、管节结构
采用预制钢筋混凝土圆管,管径为0.5~1.5m,长度为1m,形式用正、斜交两种。
3、倒虹吸管埋置深度的确定
(1)管顶面距路基边缘深度不少于1250px。
(2)管顶距边沟底覆土不少于625px。
(3)管节顶部必须埋置在当地最深冰冻线以下。
4、倒虹吸管底坡:
一般做成水管底采用外包混凝土管基形式,混凝土基础下面宜填筑15~750px砂砾垫层,并用锤夯实。防漏接缝采用浸过沥青的嘛絮填塞,外用满涂热沥青油毛毡包裹两道。外包以就地浇筑的钢筋混凝土方形套梁,使形成整体。
5、进出口竖井
倒虹吸管上、下游两端的连接构造物宜用C15混凝土就地浇筑,比砌体圬工好。
6、沉淀池
前后个设一个,H=750px。
7、拦圬栅
8、泄水管及阀门
9、铁脚蹬:每阶距750px,用Ф16mm的钢筋制成。
10、井盖:用C20钢筋混凝土制成。
11、管槽及井槽回填土:应先做灌水试验,再填土。

