3.5 动力学链长和聚合度
动力学链长这部分的关键内容是动力学链长的定义、动力学链长的计算、动力学链长与聚合度的关系及温度对动力学链长的影响四给内容。其中动力学链长的计算是核心内容。
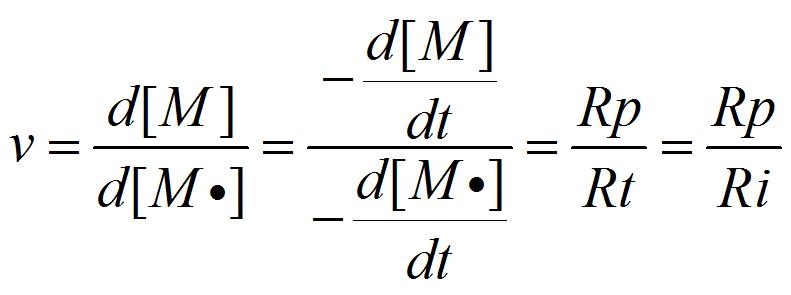
动力学链长的定义:每个活性种从引发阶段到终止阶段所消耗的单体分子数。由此,动力学链长的定义式可以表达如下:

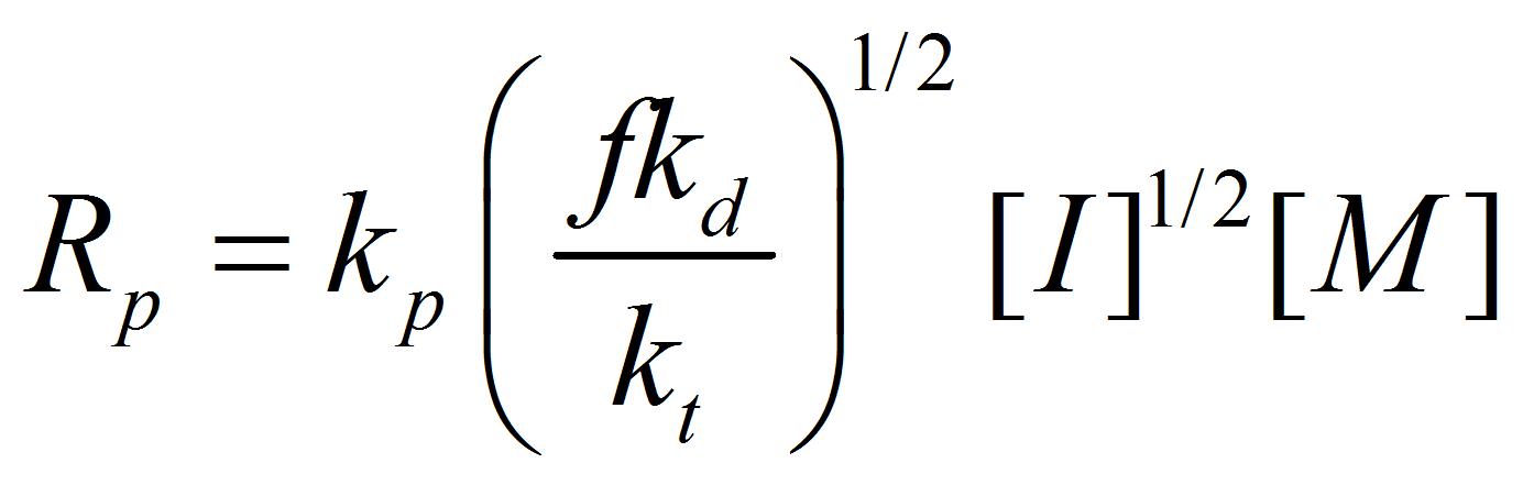
将链引发速度Ri与链增长速率代入到上式,可得

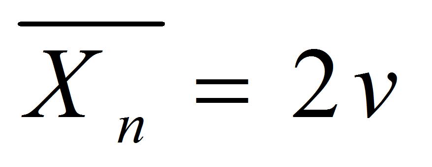
无转移时的聚合度
聚合度与动力学链长的关系
耦合终止:![]()
歧化终止:![]()
耦合终止与歧化终止都有的,令C和D分别代表耦合终止与歧化终止的分数,则

根据Arrhenius公式以及动力学链长中反应速率常数间的关系,
,
据此,

由于E'一般为负值,所以温度升高,往往导致动力学链长缩短,聚合度下降。
链转移反应对聚合度的影响
链转移反应通常包括四种,分别是向单体、引发剂、溶剂和大分子的转移反应。除向大分子的转以外,链转移的结果是使聚合度下降;对聚合速度的影响,主要看新形成的自由基的活性,若活性与原链自由基一致则聚合速度不受影响,若低于原链自由基活性,则聚合速度下降。

平均聚合度是使分子链变大的链增长反应速率与所有形成大分子的反应速率之比。使链增长反应停止,形成大分子的反应主要包括链终止反应与链转移反应两个部分。据此,可以得出如下公式:

为了计算方便,将分子与分母倒置,化简后可得如下公式:

为了简化公式表达,将链转移速率常数与链增长速率常数之比定义为C,从而将上式进一步简化如下:


对上聚合度与链转移反应公式的说明
1、本体聚合:反应体系无溶剂,则向溶剂转移的常数为零。
2、AIBN为引发剂:由于无诱导分解,则向引发剂转移的常数为零
3、PVC的聚合:聚氯乙烯(PVC)的聚合反应特殊,其大分子的生成反应主要是链自由基向单体的链转移反应(约占形成大分子的75%),所以它的聚和度计算公式最为简单。

4、向大分子转移:向大分子转移时,有两种情况,一是向自身转移即所谓分子内转移,这种反应多在聚合物上形成短支链;二是链自由基向别的大分子转移,即所谓分子间转移反应多生成长支链。


