2.7 逐步聚合实施方法
1、熔融聚合
熔融缩聚是实验室和工业生产应用最广泛的聚合方法。不加溶剂,使原料单体和缩聚产物在反应体系熔融温度,以上(一般高于熔点10-25℃)进行聚合。
熔融聚合的特点:
Ø反应体系简单,产物纯度高
Ø反应温度高
Ø多数符合缩聚反应一般规律
Ø 易发生各种副反应
应用:
Ø室温下聚合速率低的可逆缩聚反应PET、PC、PA…
Ø聚合速率不高的不可逆缩聚反应聚砜…
2、溶液聚合
在工业生产中应用规模仅次于熔融缩聚,它是将单体溶于适当溶剂中进行聚合反应。
溶液聚合中,溶剂的作用主要有六个方面,分别是:
(1)溶解单体
(2)有利于反应热的排除
(3)溶解或溶胀增长链,增加反应速率,提高分子量
(4)有利于低分子副产物的除去
(5)低分子副产物的受体(特殊作用)
(6)充当缩合剂(特殊作用)
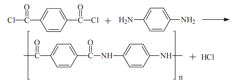
例:芳香族聚酰胺的聚合:


采用HCl受体(二甲基酰胺、吡啶等)为溶剂,溶剂碱性越大,聚合物的聚合度越高。
3、界面缩聚
在实验室规模研究较广泛,尚未普遍用于工业生产,将两种单体分别溶于互不相溶的两相中,在两相界面处进行的缩聚反应。
例如:已二胺/水溶液-癸二酰氯/三氯甲烷溶液

界面缩聚的特点
(1)复相反应
(2)单体活性大
(3)反应不可逆
已二胺中加适量的碱以中和HCl
(4)扩散控制过程
界面缩聚的总速率取决于扩散速率
反应区域内单体的浓度取决于单体向反应区域内扩散的速率
(5)官能团未必等物质量
(6)低反应程度下就可以得到高分子量产物
(7)生成的聚合物必须不溶于任何一相,可及时更换界面
界面缩聚时, 溶剂的选择
(1)两种溶剂必须互不相溶
(2)两种溶剂必须都不溶解高分子量聚合产物
(3)有机溶剂必须能溶解低分子量聚合产物,聚合物过早沉淀将得不到高分子量聚合产物
4、固相缩聚


