2.4 线形缩聚物的聚合度
线形缩聚物的聚合度是本章的重要内容,影响聚合物聚合度的因素主要有反应程度、平衡常数和基团数比。而基团数比可作为分子量控制的主要因素。
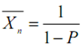
反应程度与聚合度的关系
![]()

由公式可知,逐步聚合产物的分子量不可能无限增长,它受到反应程度的限制。
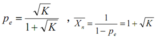
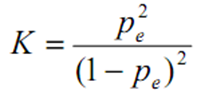
平衡常数与分子量的关系:
对于可逆反应来说,分子量取决于平衡常数,又取决于打破平衡,使反应向正方向进行的措施。
(1)封闭体系:生成的小分子不除去
平衡时的反应程度为pe,则平衡时:![]()
据此推导出pe与K间的关系如下,再根据Pe与数均聚合度的关系可推导出平衡常数
与数均聚合度的关系如下:

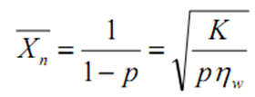
(2)敞开体系:小分子物质不断被蒸发

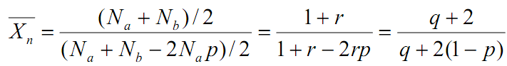
基团数比
官能团的比例( 或 )对聚合物的聚合度有很大影响,而且反应程度越高,影响越大。逐步聚合反应对配比要求严格,不仅开始投料时配比要严格,而且包括反应过程。特别是在高温低压时,如果两单体挥发性不同,开始时配比会变化,使高分子链的形成变得困难。工业上往往采取一些便于控制投料比的方法,其中之一就是用含有不同官能团的单体均缩聚。
(1)双官能团单体过量
双官能团单体过量时,按官能团的摩尔比、反应程度来计算聚合度。

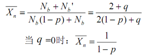
(2)单官能团单体过量



与双官能团单体相比,单官能团化合物对降低分子量的影响更大,因此缩聚反应中必须除去单官能化合物的杂质。
单官能团单体的作用
(1)稳定作用:单官能封端使分子量稳定下来(其中一种略过量亦可)。
(2)调节分子量:有时不对分子量进行调节,会使聚合物分子量过大,加工困难。
如:PC,不加单官能团物质,分子量可达20万,加入苯酚,可控制分子量;又如:尼龙-6,加入少量月桂酸或醋酸调节分子量,可以调节粘度,使其能用于熔融纺丝,同时封端,减少纺丝过程中的粘度变化。
2.5 线形缩聚物的聚合度分布
聚合度的分布主要涉及到聚合度分布函数与聚合度分布指数。
线形缩聚物的聚合度分布是根据几率推导出的,依据官能团等活性的概念(即各步反应速率常数相等),推导线型缩聚物的聚合度分布。
反应程度为p,表示一个官能团发生反应概率为p,
x聚体含x个结构单元:成键x-1次,未成键1次。则x聚体生成的几率为

设:聚体数为Nx, 体系分子总数为N, 起始单体总数为N0,则有:





