1 绪论
所有的课程都是由一系列概念、观点与计算的综合体。
1.1 高分子的基本概念
高分子的基本概念涵盖了两个层次,一个是对其自身的描述,即什么是高分子;另一个是其构成的描述,即什么组成高分子。高分子是由什么组成的呢?它是由结构单元组成的,结构单元又是怎么没来的的,它是由单体反应后剩余的。单体又是什么呢,它是聚合反应的原料。
高分子——分子量很高且由共价键连接的一类化合物。
结构单元——组成高分子的基本单位。
单体——聚合反应的原料。
单体单元——一旦单体相互间反应,以共价键连接形成大分子的过程中没有小分子释放,这时候形成单体单元。一般是烯类单体间反应容易发生这种情况。
重复单元——聚合物中反复出现的组成聚合物的基本单元。例如
结构单元、
重复单元、单体单元同一。
结构单元、重复单元、单体单元不统一。
1.2 聚合物的分类和命名
为了区分与交流的便利,需要给聚合物命名。命名有四种方式:单体名前加“聚”或单体名后加“树脂” 或“橡胶”、高分子链的结构特征命名、商品名与系统命名(IUPAC命名)。四种方式中,前三种比较常用,系统命名法一般应用于新和成的高分子或者正式发表文章交流中。
聚合物的分类。往往根据自身的使用需要对聚合物划分不同的种类,这个硬性分类对聚合物自身没有特殊的意义,是使用者根据需要进行的划分。本书中,根据主链结构将聚合物划分为碳链聚合物、杂链聚合物和元素有机聚合物三大类。
(1)碳链聚合物
分子主链完全由碳原子组成。主要来自于聚烯烃的连锁聚合产物,如聚乙烯、聚丙烯、聚甲基丙烯酸甲酯等。
(2)杂链聚合物
分子主链除了碳原子外,还含有O、N、S等杂原子。主要来自于官能团间发生的逐步聚合反应,如聚醚、聚酯、聚酰胺、聚氨酯等。
(3)元素有机高分子
分子主链不含有碳原子,完全由Si、B、Al、O、P、S等原子组成,其侧基往往含有C、H、O等有机基团。最常见的如有机硅。
除按主链结构分类外,还可以按照分子量的高低分为低分子、齐聚物和高聚物。

其中分子量低于1000的称为低分子、1000-10000之间称为齐聚物而超过10000的称为高聚物。
更重要的一种分类是聚合物的结构特征分类,将聚合物分为聚酯、聚酰胺、聚氨酯或者聚烯烃等。这种方法最常用、对初学者也最重要。

1.3 聚合反应
单体通过聚合反应成为大分子,所以聚合反应的定义为由低分子单体合成聚合物的反应称为聚合反应。有两种分类方法。一是按单体-聚合物的结构变化分,分为缩聚、加聚和开环;一是按照聚合机理及动力学,分为逐步聚合和连锁聚合。
1.3.1 按单体-聚合物的结构变化分类
(1)缩聚

(2)加聚

(3)开环聚合

1.3.2 按聚合机理分类
(1)逐步聚合
官能团间的反应,分子量逐渐增加、聚合过程有中间产物、各步反应活化能基本相同。
(2)连锁聚合
双键与活性中心(自由基、阴离子、阳离子)的反应,反应有基元反应,各基元反应的活化能不同。
1.4 分子量与分子量分布
聚合物的分子量是其最重要的指标之一,因为它与聚合物材料的强度密切相关。聚合物的分子尺寸与其分子量相联系。表1-1显示了低分子与高分子化合物的相对 分子质量与分子尺寸。
表1-1 低分子与高分子化合物的相对 分子质量与分子尺寸 
既然聚合物材料的分子量与其强度密切相关,那分子量越高越好吗?不是的。相对分子量过高往往会导致聚合物的熔体黏度过大而使其加工困难,所以不同用途的聚合物要求有一个适当的相对分子质量范围。表1-2显示了聚合物的相对分子量。
表1-2 几类聚合物的相对分子质量Mn范围/万

强调:聚合物都是有许多相对分子质量大小不等的同系物分子组成的混合物。其相对分子质量是这些同系物相对分子质量的统计平均值,用
表示。这里大写英文字母M上和后面的提到的聚合度上的短横线都标示“平均”的含义。而x根据测量方法和计算方法的不同,分别代表“数均相对分子质量”、“重均相对分子质量”和“黏均相对分子质量”,x也被n、w和v代替。
1.4.1 平均分子量
(1)数均分子量
数均分子量有确切的物理意义,表示每个聚合物分子的平均分子质量。定义是总质量被总分子数平均
![]()
(2)重均分子量
无确切物理意义。定义为各个级份的相对分子质量与其质量分数乘积之和。它提示一个事实,聚合物试样所含有的相对分子质量大的分子对于聚合物的某些物理性能的贡献更大些,如溶液黏度、渗透压等。

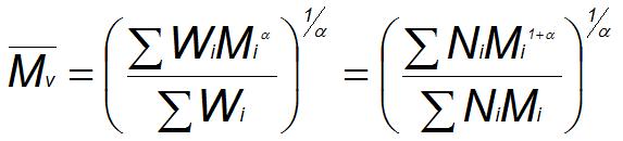
(3) 黏均分子量
用黏度法测定的平均相对分子质量。

式中的α来源于黏度法测量聚合物相对分子质量的计算公式,Mark-Houwink方程,α为常数,其数值通常在0.5-0.9之间。
三种分子量的关系是,
。
1.4.2 聚合度

图中括号脚标n代表聚合度“
”。本式代表一个大分子链含有重复单元的数目。由于聚合物中存在大量的共聚物和混聚物,重复单元不好计算或者没有确切的重复单元,所以用重复单元计算聚合物的聚合度不方便。往往采用结构单元的平均数
来表示。
聚合度与相对分子质量的关系为
![]()
强调:今后的学习中,聚合度的计算均以结构单元数而不是重复单元数为基准。
1.4.3 分子量分布
既然聚合物的相对分子质量是其中所有同系物分子的相对分子质量的平均值,那么聚合物的相对分子质量分布就十分重要。例如同为聚对苯二甲酸乙二醇酯,纤维用、瓶用和膜用的分子量及分子量分布都不同。
国内瓶用聚酯的特性黏数[η]要0.70dl/g,国外的特性黏数[η]在0.74-0.8dl/g;聚酯的特性黏数高,熔体流动性差,但是聚合物强度高。膜用聚酯的特性黏数[η]在0.62-0.68dl/g之间。当聚酯的特性黏数[η]低于0.43dl/g时,生产困难。
(1)分散指数 ![]()
分散指数定义为重均分子量与数均分子量的比值。分散指数是大于1的数,数值越大表明分散性越高。对于聚合物而言,橡胶制品的分散指数要求高些好,有利于提高聚合物的流动性,而纤维制品的分散指数要求低些好,有利于制品强度的提高。
(2)分布曲线

以分子量分布曲线表示, 将高分子样品分成不同分子量的级分,这一实验操作称为分级。以被分离的各级分的重量分率对平均分子量作图,得到分子量重量分率分布曲线。可通过曲线形状,直观判断分子量分布的宽窄。

