2.9 Matlab在离散时间信号和系统分析中的应用
.
%单位冲击序列
function[x,n]=impseq(n0,n1,n2)
n=[n1:n2];
x=[(n-n0)==0];
stem(n,x);
%单位阶跃序列
function[x,n]=stepseq(n0,n1,n2)
n=[n1:n2];l x=[(n-n0)>=0];
% 噪声干扰的余弦信号 x(n)=cos(0.04n*PI)+0.2w(n)
n=[0:100];
x=cos(0.04*pi*n)+0.2*randn(size(n));
subplot(2,1,1);plot(n,x);xlabel('n');ylabel('x(n)');
subplot(2,1,2);stem(n,x);xlabel('n');ylabel('x(n)');
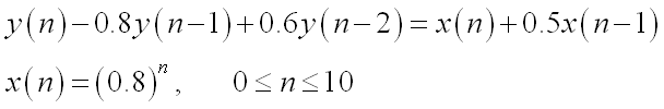
2.28 设某因果系统如下列差分方程描述

,计算该系统的冲击响应和单位阶跃响应。
解:
%输入差分方程系数
b=[1];a=[1,-0.8,0.5];
%计算冲击响应
x=impseq(0,0,20);n=[0:20];
h=filter(b,a,x);
subplot(2,1,1);stem(n,h);title('冲击响应');
xlabel('n');ylabel('h(n)');
%计算阶跃响应
x=stepseq(0,0,20);
s=filter(b,a,x);
subplot(2,1,2);stem(n,s);title('阶跃响应');
xlabel('n');ylabel('s(n)');
%求极点模,判断稳定性

2.29 某因果系统如下列差分方程描述

计算该系统的冲击响应和对输入x的响应。
解:
%输入差分方程系数
b=[1,0.5];a=[1,-0.8,0.6];
%计算冲击响应
x=impseq(0,0,20);n=[0:20];
h=filter(b,a,x);
subplot(2,1,1);stem(n,h);title('冲击响应');
xlabel('n');ylabel('h(n)');
%计算对x(n)的响应
n=0:10;x=(0.8).^n;nx=[0:10];nh=[0:20];
y=conv(x,h);ny=length(y);
n=0:ny-1;
subplot(2,1,2);stem(n,y);title('系统对x(n)的响应');
xlabel('n');ylabel('y(n)');
%求极点模,判断稳定性

2.30 设信号![]()
用MatLab计算DTFT,并画图表示。
解:
%计算序列DTFT
%输入序列
n=-1:3;x=1:5;
%在横轴上分点
k=0:500;w=(pi/500)*k;
%计算DTFT
X=x*(exp(-j*pi/500)).^(n'*k);
magX=abs(X);angX=angle(X);
subplot(2,1,1);plot(w/pi,magX);title('幅度响应');grid;
ylabel('幅度');xlabel('以PI为单位的频率');
subplot(2,1,2);plot(w/pi,angX);title('相位响应');grid;
ylabel('相位/\pi');xlabel('以PI为单位的相位');
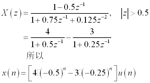
2.32 用Matlab求z变换的反变换

解:
%部分分式法求逆z变换
b=[1,-0.5];a=[1,0.75,0.125];
[R,P,C]=residuez(b,a);
disp('R=');disp(R');
disp('P=');disp(P');
disp('C=');disp(C');
R=
4 -3
P=
-0.5000 -0.2500
C=
>>
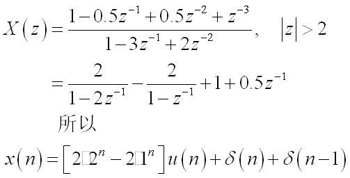
2.33 用Matlab求z变换的反变换

解:
%部分分式法求逆z变换
b=[1,-0.5,0.5,1];
a=[1,-3,2];
[R,P,C]=residuez(b,a);
disp('R=');disp(R');
disp('P=');disp(P');
disp('C=');disp(C');
R=
2 -2
P=
2 1
C=
1.0000
0.5000

