2.4.1离散时间信号的傅里叶变换
众所周知,连续时间信号f(t)的傅里叶变换定义为:
![]()
而f(jΩ)的傅里叶反变换定义为
![]()
类似地,可以把离散时间信号x(n)的傅里叶变换定义为
![]()
X(ejω)的傅里叶反变换定义为
![]()
在物理意义上,X(ejω)表示序列x(n)的频谱,ω为数字域频率。X(ejω)一般为复数,可用它的实部和虚部表示为
![]()
或用幅度和相位表示为
![]()
例2.9求下列信号的傅里叶变换
![]()
解:

离散时间信号的傅里叶变换具有以下两个特点:
(1)X(ejω)是以2π为周期的ω的连续函数。
(2)当x(n)为实序列时,X(ejω)的幅值| X(ejω) |在0≤ω≤2π区间内是偶对称函数,相位arg[X(ejω)]是奇对称函数。


值得注意的是,式(2. 34a)中右边的级数并不总是收敛的,或者说并不是任何序列x(n)的傅里叶变换都是存在的。
只有当序列x(n)绝对可和,即
时,式(2. 34a)中的级数才是绝对收敛的,或x(n)的傅里叶变换存在。
2.4.2离散时间信号的傅里叶变换的性质
(1) 序列的傅里叶变换的线性
设![]()
则![]()
2.序列的移位
设![]()
则![]()
3.序列的调制
设![]()
则![]()
4.序列的折叠
设![]()
则![]()
5.序列乘以n
设![]()
则![]()
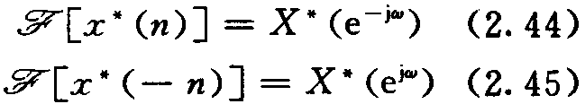
6.序列的复共轭
设![]()
则
7.序列的卷积
设![]()
![]()
则![]()
8.序列相乘
设![]()
![]()
则![]()
9.傅氏变换的对称性质
(一)共轭对称序列与共轭反对称序列
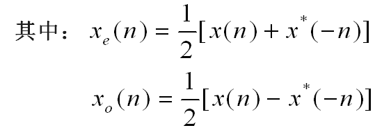
1.共轭对称序列:xe(n)=xe*(.n)
设序列:![]()
则![]()
则![]()
根据定义:
,![]()
结论:共轭对称序列的实部是偶对称序列(偶函数)
而虚部是奇对称序列(奇函数)
2.共轭反对称序列:xo(n)=-xo*(.n)
同样有:![]()
结论:共轭反对称序列的实部是奇对称序列(奇函数)
而虚部是偶对称序列(偶函数)
3.任意序列可表示成xe(n)和xo(n)之和:![]()

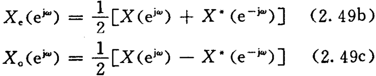
序列的傅里叶变换X(ejω)可以被分解成共轭对称与共轭反对称两部分之和,即
![]()
其中:

设复序列x(n)的傅里叶变换为X(ejω),x(n)的实部Re[x(n)]和虚部jIm[x(n)]的傅里叶变换分别为
![]()
序列x(n)的共轭对称分量xe(n)和共轭反对称分量xo(n)的傅里叶变换为

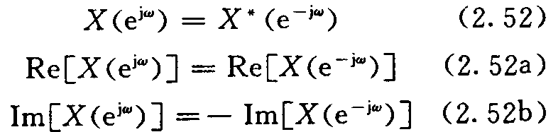
若x(n)为实序列,则这些对称性质将变得特别简单、有用:

2.4.3离散时间系统的频率响应
一、线性非移变系统的频率响应
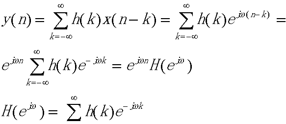
系统的频率响应
输入信号为![]()
系统输出

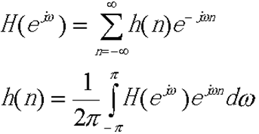
称为单位取样响应为h(n)的系统的频率响应。
二、系统频率响应的特点
(1)H(ejω)是ω的连续函数;
(2) H(ejω)是ω的以2π为周期的函数;
(3) h(n)为实序列时H(ejω)的幅值为偶对称的,相位为奇对称的(在区间)
系统频率响应与单位取样响应的关系:
H(ejω)是周期性连续函数,可以按傅里叶级数展开

系统的单位取样响应与系统的频率响应互为傅里叶变换对。


