经济学

闫志明

目录

  • 1 导论
    • 1.1 什么是西方经济学
    • 1.2 西方经济学的由来和发展
    • 1.3 西方经济学的研究对象
    • 1.4 西方经济学的研究方法
    • 1.5 怎样学习西方经济学
    • 1.6 章节小结及知识拓展(直播课)
  • 2 需求、供给和均衡价格
    • 2.1 需求
    • 2.2 供给
    • 2.3 市场均衡
    • 2.4 政府干预与市场均衡
    • 2.5 弹性理论
    • 2.6 章节小结及知识拓展(直播课)
  • 3 消费者选择
    • 3.1 效用理论概述
    • 3.2 基数效用理论
    • 3.3 序数效用理论
    • 3.4 预算约束线
    • 3.5 消费者均衡
    • 3.6 章节小结及知识拓展(直播课))
  • 4 企业的生产
    • 4.1 企业
    • 4.2 生产函数
    • 4.3 短期生产函数
    • 4.4 长期生产函数
    • 4.5 规模报酬
    • 4.6 章节小结及知识拓展(直播课)
  • 5 企业的成本
    • 5.1 成本及成本函数
    • 5.2 短期成本分析
    • 5.3 长期成本分析
    • 5.4 收益与利润最大化
    • 5.5 章节小结及知识拓展(直播课)
  • 6 完全竞争市场
    • 6.1 市场结构
    • 6.2 完全竞争市场面临的需求曲线和收益曲线
    • 6.3 完全竞争企业的短期均衡
    • 6.4 完全竞争厂商的长期均衡
    • 6.5 完全竞争市场的优缺点
  • 7 不完全竞争市场
    • 7.1 完全垄断
    • 7.2 垄断竞争市场的厂商均衡
    • 7.3 寡头
  • 8 生产要素市场和收入分配
    • 8.1 完全竞争和要素需求
    • 8.2 劳动和工资
    • 8.3 资本和利息
    • 8.4 土地和地租
  • 9 一般均衡和效率
    • 9.1 一般均衡
    • 9.2 经济效率和帕累托最优标准
    • 9.3 完全竞争和帕累托最优
  • 10 市场失灵的原因及其对策
    • 10.1 市场失灵概述
    • 10.2 垄断
    • 10.3 公共物品和公共资源
    • 10.4 外部影响及其对策
    • 10.5 信息不完全和不对称
  • 11 宏观经济的基本指标及其衡量
    • 11.1 国内生产总值及其衡量
    • 11.2 价格水平及其衡量
    • 11.3 失业及其衡量
    • 11.4 与基本指标相关的宏观经济问题
  • 12 短期国民收入的决定
    • 12.1 均衡国民收入的决定
    • 12.2 两部门经济:家庭部门
    • 12.3 两部门经济:企业部门
    • 12.4 三部门经济:政府部门
    • 12.5 四部门经济:对外部门
    • 12.6 影响需求的重要机制:乘数
  • 13 短期国民收入的决定:IS-LN模型
    • 13.1 短期国民收入决定:LS-LM模型
  • 14 第十二章  国民收入的决定:AD-AS模型
    • 14.1 国民收入的决定:总供求模型
  • 15 第十三章  失业、通货膨胀和经济周期
    • 15.1 失业
    • 15.2 通货膨胀
    • 15.3 菲利普斯曲线
    • 15.4 经济周期
    • 15.5 本章评析
  • 16 第十四章   经济增长
    • 16.1 经济增长的描述和事实
    • 16.2 经济增长的决定因素
    • 16.3 新古典增长模型
    • 16.4 内生增长理论
    • 16.5 增长核算
    • 16.6 促进经济增长的政策
    • 16.7 本章评析
  • 17 第十五章 开放条件下的宏观经济
    • 17.1 国际收支与汇率
    • 17.2 蒙代尔-弗莱明模型
    • 17.3 固定汇率制下的政策效果
    • 17.4 浮动汇率制下的政策效果
    • 17.5 本章评析
  • 18 第十六章 宏观经济政策
    • 18.1 财政政策及效果
    • 18.2 货币政策及效果
    • 18.3 财政政策与货币政策的配合使用
    • 18.4 供给管理政策
财政政策及效果

17.1.1  财政的基本构成

本节课包含个“芝士”点,一个微课视频任务点,一个本节测试任务点一个线下课堂讨论(手工作坊),预计花费时间12分钟。

----------------------我是华丽分割线请吃个“芝士”---------------------------

                               

1.财政的基本构成

 


17.1.2  财政政策

本节课包含个“芝士”点,一个微课视频任务点,一个本节测试任务点一个线下课堂讨论(手工作坊),预计花费时间12分钟。

----------------------我是华丽分割线请吃个“芝士”---------------------------

                               

1.财政政策

财政政策(fiscal policy)是指一国政府通过对财政支出、税收和借债水平进行调节以达到实现充分就业、物业稳定、经济增长、国际收支平衡、金融市场稳定等到一系列经济政策目标的活动。

财政政策指政府变动税收和支出以便影响总需求进而影响就业和国民收入的政策。


17.1.3  财政政策工具

本节课包含个“芝士”点,一个微课视频任务点,一个本节测试任务点一个线下课堂讨论(手工作坊),预计花费时间12分钟。

----------------------我是华丽分割线请吃个“芝士”---------------------------

                               

1.政府购买支出政策

政府购买支出(the government expenditures)是指政府购买商品和劳务的支出。如购买军需品、机关办公用品、政府雇员报酬、公共项目工程所需的支出。

从最终用途来看,政府的购买支出可分为政府投资政府消费

政府投资的特点:

①投资规模大;②投资方向主要是基础设施、公共事业、经济的“瓶颈”部门;③投资目标主要在于提高经济运行的整体效率,而不在于盈利性;④投资的资金来源是公债和税收收入

政府购买支出水平G↗→总需求AD↗→国民收入Y↗

当总需求不足时→增加购买支出水平→增加总需求→抑制经济衰退

当总需求过高时→减少购买支出水平→减少总需求→抑制通货膨胀

----------------------我是华丽分割线请吃个“芝士”---------------------------

                               

2.转移支付政策

转移支付(transfer payments)是指政府在社会福利保险、贫困救济和补助等方面的支出

 

经济处于萧条时期→失业增加→提高转移支付水平→增加可支配收入→增加消费支出→提高总需求→促进经济复苏

经济处于过热时期→通货膨胀严重→降低转移支付水平→减少可支配收入→减少消费支出→降低总需求→抑制经济过热

----------------------我是华丽分割线请吃个“芝士”---------------------------

                               

3.税收政策

税收(taxations)是国家为了实现其职能按照法律预先规定的标准,强制地、无偿地取得财政收入的一种手段。

税收的基本特征:强制性、无偿性、固定性

税收既是国家财政收入的主要来源,也是国家实施财政政策的一个重要手段

税收作为财政工具,既可以通过改变税率来实现,也可以通过变动税收总量来实现

 

----------------------我是华丽分割线请吃个“芝士”---------------------------

                               

4.公债政策

公债(public debt)是政府对公众的债务,或公众对政府的债权

公债是政府财政收入的重要组成部分

公债是政府弥补财政预算赤字的途径之一。

与税收不同,公债是政府运用信用形式筹集财政资金的特殊形式

公债以发行范围划分有外债与内债。

公债→财政收支→社会总需求→国民收入→公债属于财政政策

公债→金融市场→货币供求→社会总需求→国民收入→公债属于货币政策


17.1.4  财政政策的类型

本节课包含个“芝士”点,一个微课视频任务点,一个本节测试任务点一个线下课堂讨论(手工作坊),预计花费时间12分钟。

----------------------我是华丽分割线请吃个“芝士”---------------------------

                               

1.扩张性财政政策

扩张性财政政策是指政府增加支出,减少税收以提高总需求水平的政策。

 

政府实行扩张性财政政策在图形上表现为IS曲线向右上方移动。

----------------------我是华丽分割线请吃个“芝士”---------------------------

                               

2.紧缩性财政政策

紧缩性财政政策是指政府减少支出,增加税收以降低总需求水平的政策。

政府实行紧缩性财政政策在图形上表现为IS曲线向左下方移动。


17.1.5  财政政策的一般效应

本节课包含个“芝士”点,一个微课视频任务点,一个本节测试任务点一个线下课堂讨论(手工作坊),预计花费时间12分钟。

----------------------我是华丽分割线请吃个“芝士”---------------------------

                               

1.产出效应(乘数效应)

扩张性财政政策(如增加政府购买支出)导致IS曲线向右上方平行移动。

在没有货币市场的作用下,均衡产出将从y0增加到y2

 

----------------------我是华丽分割线请吃个“芝士”---------------------------

                               

2.挤出效应

在货币供给不变的情况下,政府支出的增加会带来利率的提高,进而降低私人部门的投资支出,这种效应称为挤出效应(effectiveness of crowding out)。

 

----------------------我是华丽分割线请吃个“芝士”---------------------------

                               

3.产出效应和挤出效应的传导机制

 

 

 

小结:

财政政策效应包括产出效应和挤出效应。

财政政策的产出效应是通过IS曲线的移动来反应的。

财政政策的实施主要是作用于产品市场但其效果却会受到货币市场的影响,这种影响将降低或弱化财政政策所能产生目标,即财政政策的产出效应会受到挤出效应的影响。

财政政策的效果不仅取决于乘数,还取决于挤出效应的大小,挤出效应越大,产出效应越小,财政政策的效果越小。


17.1.6  财政政策的效果

本节课包含个“芝士”点,一个微课视频任务点,一个本节测试任务点一个线下课堂讨论(手工作坊),预计花费时间12分钟。

----------------------我是华丽分割线请吃个“芝士”---------------------------

                               

1.财政政策政策效果的IS-LM图形分析

(1)LM曲线一定时,财政政策效果与IS曲线的关系

 

在LM曲线不变时,财政政策的效果会随着IS曲线斜率的不同而不同。

IS曲线越平缓,挤出效应越大,财政政策效果越小。

IS曲线越陡峭,挤出效应越小,财政政策效果越大。

(2)IS曲线一定时,财政政策效果与LM曲线的关系

 

在IS曲线不变时,财政政策的效果会随着LM曲线斜率的不同而不同。

LM曲线斜率越大,即LM曲线越陡峭,挤出效应越大,财政政策效果越小。

LM曲线斜率越小,即LM曲线越平缓,挤出效应越小,财政政策效果越大。

----------------------我是华丽分割线请吃个“芝士”---------------------------

                               

2.影响财政政策效果(挤出效应)大小的因素

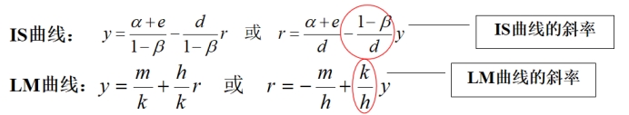
财政政策效果的大小与IS曲线和LM曲线的斜率有关

影响财政政策效果的因素:边际消费倾向(β)或支出乘数大小、投资需求对利率变动的敏感系数(d)、货币需求对收入变动的敏感程度(k)、货币需求对利率变动的敏感系数(h)

(1)边际消费倾向(β)

 β越大——IS曲线斜率越小——IS曲线越平缓——挤出效应越大——产出效应越小

(2)投资需求对利率变动的敏感系数(d)

 d越大——IS曲线斜率越小——IS曲线越平缓——挤出效应越大——产出效应越小

(3)货币需求对收入变动的敏感程度(k)

 k越大——LM曲线斜率越大——LM曲线越陡峭——挤出效应越大——国民收入增加越少

(4)货币需求对利率变动的敏感系数(h)

 h越大——LM曲线斜率越小——LM曲线越平缓——挤出效应越小——国民收入增加越多

小结:

财政政策的效果与IS曲线和LM曲线的斜率有关。斜率不同,挤出效应不同,对国民收入的影响也就不同。

在IS—LM模型中,政府支出增加时,LM曲线越陡峭,IS曲线越平坦,则挤出效应就越大,财政政策效果越小。反之,LM曲线越平坦,IS曲线越陡峭,则挤出效应就越小,财政政策效果越大。

----------------------我是华丽分割线请吃个“芝士”---------------------------

                               

3.凯恩斯流动陷阱区的财政政策效应——经济处于萧条时期

 

当h→∞,k/h=0,即LM曲线的斜率为0,LM曲线为一条水平线,LM曲线处于凯恩斯流动陷阱区域

凯恩斯流动陷阱区域扩张性财政政策的挤出效应为零,产出效应最大,财政政策效果最为显著,货币政策无效。

凯恩斯主义的极端情况

 

当出现IS曲线为垂直线而LM曲线为水平线的情况时,财政政策将十分有效,而货币政策将完全无效。这种情况被称为“凯恩斯主义的极端情况”。

LM曲线为水平线,说明利率降到较低水平时,货币需求的利率弹性已成为无穷大,此时,人们不管有多少货币,都只想保持在手中,如果货币当局在这样的情况下想用增加货币供给来降低利率以刺激投资是不可能有效果的

IS曲线为垂直线,说明投资需求的利率弹性系数为0,说明利率如何变动,投资都不会变动

----------------------我是华丽分割线请吃个“芝士”---------------------------

                               

4.古典区域的财政政策效应——经济处于繁荣时期

 

当h→ 0 ,k/h=∞,即LM曲线的斜率为∞ ,LM曲线为一条垂直线,LM曲线处于古典区域

古典区域的扩张性财政政策的挤出效应最大而产出效应为零,财政政策的效果很弱不明显

小结:

挤出效应有两个极端,在凯恩斯区域有完全的产出效应,挤出效应为零,在古典区域有完全的挤出效应,产出效应为零。

在经济处于萧条时期,应采用积极的财政政策,此时的财政政策效果也最为显著。在经济处于繁荣时期,财政政策的效果很弱,不明显。


17.1.7  自动稳定器与斟酌使用的财政政策

本节课包含个“芝士”点,一个微课视频任务点,一个本节测试任务点一个线下课堂讨论(手工作坊),预计花费时间12分钟。

----------------------我是华丽分割线请吃个“芝士”---------------------------

                               

1.自动调节与主动调节

财政政策对经济的调节作用分为自动调节与主动调节两种。

自动调节(automatic change)指财政制度本身有着自动地抑制经济波动的作用,即自动稳定器。

主动调节(discretionary change)指政府有意识地实行所谓反周期的相机抉择的积极财政政策。

----------------------我是华丽分割线请吃个“芝士”---------------------------

                               

2.财政制度的自动稳定器

自动稳定器(automatic stabilizers),又称“内在稳定器”,是指经济系统本身具有一种减少各种干扰对国民收入冲击的机制,能够在经济繁荣时期自动抑制通货,在经济衰退时期自动减轻萧条,而不需要政府采取任何行动。

在经济出现衰退,国民收入降低时,财政政策会自动引起政府支出的增加和税收的减少,从而阻止经济进一步衰退;反之,在经济繁荣、国民收入增加时,它会自动引起政府支出的减少和税收的增加,从而避免出现经济的过度膨胀。财政制度本身所具有的这种内在自动稳定经济的功能称为财政制度的自动稳定器。

(1)政府税收的自动变化

在经济衰退时,产出水平下降,个人收入减少

在税率不变时——政府税收自动减少——可支配收入自动少减少一点——抑制消费需求的降低

在累进税率下——纳税人自动进入较低的纳税档次——税收下降幅度超过收入下降幅度——起到抑制经济衰退作用

在经济繁荣时,失业率下降,个人收入增加

在税率不变时——政府税收自动增加——可支配收入自动少增加一点——消费和总需求自动少增加一些

在累进税率下——纳税人自动进入较高的纳税档次——税收上升幅度超过收入上升幅度——起到抑制经济过热作用

(2)政府支出的自动性变化

在经济衰退和萧条时期,失业增加,政府的失业救济和其他社会福利开支自然增加,抵消一部分收入的下降,进而抑制消费需求的下降。

在经济繁荣时期,失业人数减少,政府的失业救济和其他社会福利开支自然减少,抵消一部分收入的上升,进而抑制消费需求的上升。

(3)农产品价格维持制度

经济萧条时,国民收入下降,农产品价格下降,政府支持价格收购农产品,使农民收入和消费维持在一定水平上

经济繁荣时,国民收入上升,农产品价格上升,政府减少农产品收购并抛售农产品,限制农产品价格上升,抑制农民收入过快增长,从而减少总需求的增长量

小结:

西方学者认为,政府收入和支出的自动变化对宏观经济活动都起稳定作用。但是两者比较而言,政府收入自动变化的稳定作用要大于政府支出自动变化的稳定作用。

自动稳定器是政府稳定经济和缓和经济周期波动的第一道防线,它对轻微的经济波动能起到良好的作用,但其作用是有限局限的和辅助性的,自动稳定器无法完全消除经济波动。

----------------------我是华丽分割线请吃个“芝士”---------------------------

                               

3.斟酌使用的财政政策

西方经济学者认为,为确保经济稳定,政府要审事度事,主动采取一些财政政策,变动支出水平或税收以稳定总需求水平,使之接近物价稳定的充分就业水平,这就是斟酌使用的财政政策(相机抉择使用的或权衡性的财政政策)

当经济出现衰退时,政府应消减税收、降低税率,增加支出或双管齐下以刺激总需求;反之,当经济出现通货膨胀时,政府应增加税收或消减开支以抑制总需求。前者称为扩张性财政政策,后者称为紧缩性财政政策。这种交替使用的扩张性和紧缩性财政政策,被称为补偿性财政政策

凯恩斯主义者认为,当总需求水平过低,产生衰退和失业时,政策应采取刺激需求的扩张性财政政策;当总需求水平过高,产生通货膨胀时,政府应采取抑制总需求的紧缩性财政措施。简而言之,要“逆经济风向行事”。这样一套经济政策就是凯恩斯主义的相机抉择的“需求管理


17.1.8  功能财政与预算盈余

本节课包含个“芝士”点,一个微课视频任务点,一个本节测试任务点一个线下课堂讨论(手工作坊),预计花费时间12分钟。

----------------------我是华丽分割线请吃个“芝士”---------------------------

                               

1.功能财政与预算盈余

政府为了实现无通货膨胀的充分就业水平,在财政方面采取积极政策,当实现这一目标,预算可以是盈余,也可以是赤字,这样的财政为功能财政

预算赤字是政府财政支出大于收入的余额。实行扩张性财政政策,即减税和扩大政府支出会造成预算赤字。

预算盈余是政府收入超过支出的余额。实行紧缩性财政政策,即增税和减少政府支出会造成预算盈余。

功能财政思想

政府为了实现充分就业和消除通货膨胀,需要赤字就赤字,需要盈余就盈余,而不应为了实现财政收支平衡妨碍政府财政政策的正确制定和实行。

原有财政预算平衡思想

年度平衡预算:是指要求每个财政年度的收支平衡。这是20世纪30年代大危机以前普遍采用的政策原则。

周期平衡预算:是指政府在一个经济周期中保持预算收支平衡。在经济衰退时实行扩张政策,有意安排预算赤字,在繁荣时期实行紧缩政策,有意安排预算盈余,以繁荣时的盈余弥补衰退时的赤字,使整个经济周期的盈余和赤字相抵而实现预算平衡。

小结:

功能财政是凯恩斯主义者的财政思想,是相机抉择使用的财政政策的指导思想,而相机抉择使用的财政政策是功能财政思想的实现。

功能财政思想否定了原有财政平衡预算思想,但这种政策的实施也存在一定的困难。主要是因为经济波动难易预测,经济形势难易估计,政策的实施有时滞等,所以这种预算也难以充分奏效。


17.1.9  赤字与公债

本节课包含个“芝士”点,一个微课视频任务点,一个本节测试任务点一个线下课堂讨论(手工作坊),预计花费时间12分钟。

----------------------我是华丽分割线请吃个“芝士”---------------------------

                               

1.赤字与公债

财政支出大于财政收入形成财政赤字。财政赤字是预算开支超过收入的结果

 

赤字增长——债务增长——利息负担增长——赤字进一步增长

总赤字=非利息赤字+利息支出

----------------------我是华丽分割线,给举个“栗子”---------------------------

                          

在美国,1992年底政府债务总量达到4万亿美元,平均每个美国人分摊到1.6美元

在美国,政府的利息支出在GDP中的比重在60年为1.3%%,而在90年开初已上升到3.5%%,30年左右增长了将近3倍

对公债的认识:

一些经济学家认为:①公债无论是内债还是外债,与税收一样,都是政府加在公民身上的一种负担。②公债不仅是加在当代人身上的负担,而且还会造成下一代人的负担。

另一些经济学认为:①外债对一个公民来说是一种负担,因为必须用本国的产品来偿还外债的利息,但内债对公民不构成负担,因为内债是政府欠本国人的债,也就是“自己欠自己的债”,况且,政府是长期存在,会用新债偿还旧债,只是财富的再分配,对整个国家而言,并没有财富损失。②公债对子孙后代不构成负担,因为发行公债可以促使资本更多的形成,加快经济增加的速度,从而给子孙后代开来更多的财富和消费。


17.1.10  西方财政的分级管理模式

本节课包含个“芝士”点,一个微课视频任务点,一个本节测试任务点一个线下课堂讨论(手工作坊),预计花费时间12分钟。

----------------------我是华丽分割线请吃个“芝士”---------------------------

                               

1.西方财政的分级管理模式

西方国家普遍采用分级管理的财政体制

在财政分级管理体制下,税收被划分为中央税、地方税和中央与地方共享税三种。

中央政府财政预算与地方财政预算各自分开,自求平衡

中央政府对地方政府的调节,主要依靠税收返还制度和中央政府支出对地方政府的财政补助形式进行