经济学

闫志明

目录

  • 1 导论
    • 1.1 什么是西方经济学
    • 1.2 西方经济学的由来和发展
    • 1.3 西方经济学的研究对象
    • 1.4 西方经济学的研究方法
    • 1.5 怎样学习西方经济学
    • 1.6 章节小结及知识拓展(直播课)
  • 2 需求、供给和均衡价格
    • 2.1 需求
    • 2.2 供给
    • 2.3 市场均衡
    • 2.4 政府干预与市场均衡
    • 2.5 弹性理论
    • 2.6 章节小结及知识拓展(直播课)
  • 3 消费者选择
    • 3.1 效用理论概述
    • 3.2 基数效用理论
    • 3.3 序数效用理论
    • 3.4 预算约束线
    • 3.5 消费者均衡
    • 3.6 章节小结及知识拓展(直播课))
  • 4 企业的生产
    • 4.1 企业
    • 4.2 生产函数
    • 4.3 短期生产函数
    • 4.4 长期生产函数
    • 4.5 规模报酬
    • 4.6 章节小结及知识拓展(直播课)
  • 5 企业的成本
    • 5.1 成本及成本函数
    • 5.2 短期成本分析
    • 5.3 长期成本分析
    • 5.4 收益与利润最大化
    • 5.5 章节小结及知识拓展(直播课)
  • 6 完全竞争市场
    • 6.1 市场结构
    • 6.2 完全竞争市场面临的需求曲线和收益曲线
    • 6.3 完全竞争企业的短期均衡
    • 6.4 完全竞争厂商的长期均衡
    • 6.5 完全竞争市场的优缺点
  • 7 不完全竞争市场
    • 7.1 完全垄断
    • 7.2 垄断竞争市场的厂商均衡
    • 7.3 寡头
  • 8 生产要素市场和收入分配
    • 8.1 完全竞争和要素需求
    • 8.2 劳动和工资
    • 8.3 资本和利息
    • 8.4 土地和地租
  • 9 一般均衡和效率
    • 9.1 一般均衡
    • 9.2 经济效率和帕累托最优标准
    • 9.3 完全竞争和帕累托最优
  • 10 市场失灵的原因及其对策
    • 10.1 市场失灵概述
    • 10.2 垄断
    • 10.3 公共物品和公共资源
    • 10.4 外部影响及其对策
    • 10.5 信息不完全和不对称
  • 11 宏观经济的基本指标及其衡量
    • 11.1 国内生产总值及其衡量
    • 11.2 价格水平及其衡量
    • 11.3 失业及其衡量
    • 11.4 与基本指标相关的宏观经济问题
  • 12 短期国民收入的决定
    • 12.1 均衡国民收入的决定
    • 12.2 两部门经济:家庭部门
    • 12.3 两部门经济:企业部门
    • 12.4 三部门经济:政府部门
    • 12.5 四部门经济:对外部门
    • 12.6 影响需求的重要机制:乘数
  • 13 短期国民收入的决定:IS-LN模型
    • 13.1 短期国民收入决定:LS-LM模型
  • 14 第十二章  国民收入的决定:AD-AS模型
    • 14.1 国民收入的决定:总供求模型
  • 15 第十三章  失业、通货膨胀和经济周期
    • 15.1 失业
    • 15.2 通货膨胀
    • 15.3 菲利普斯曲线
    • 15.4 经济周期
    • 15.5 本章评析
  • 16 第十四章   经济增长
    • 16.1 经济增长的描述和事实
    • 16.2 经济增长的决定因素
    • 16.3 新古典增长模型
    • 16.4 内生增长理论
    • 16.5 增长核算
    • 16.6 促进经济增长的政策
    • 16.7 本章评析
  • 17 第十五章 开放条件下的宏观经济
    • 17.1 国际收支与汇率
    • 17.2 蒙代尔-弗莱明模型
    • 17.3 固定汇率制下的政策效果
    • 17.4 浮动汇率制下的政策效果
    • 17.5 本章评析
  • 18 第十六章 宏观经济政策
    • 18.1 财政政策及效果
    • 18.2 货币政策及效果
    • 18.3 财政政策与货币政策的配合使用
    • 18.4 供给管理政策
预算约束线


本节课包含3个【芝士】点,2个微课【视频任务点】,做1个【题子】(内含1道判断题、4道单选题、2道多选题),预计花费时间30分钟。

----我是华丽分割线,我是“引子”----

 无差异曲线表明各种商品为消费者提供的各种满足水平。但在现实中,任何消费者在购买商品时总要受到一定收入水平和一定价格水平的限制。由此,序数效用论者在分析消费者行为时,又建立了消费者的预算线。


----我是华丽分割线,请吃块“芝士”----

3.4.1  预算线的概念

1. 概念

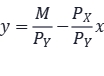
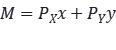
  预算线budget  line在偏好驱使下的消费者选择也会收到来自收入的制约,这种制约可以由消费者的预算约束线来表示。预算线又叫消费者可能线或价格线。它表示既定收入水平既定价格水平下,消费者使用全部收入购买两种商品所能达到的最大的数量组合。


                                              

       M——消费者在一定时期内的收入;

       x,y——购买X和Y两种商品的的数量;

——两种商品的价格。


       请观看以下《预算线》视频,了解什么是收入约束线?预算约束线的表达公式是什么?

视频名称:预算线    视频时间:0分56秒     视频来源:秒懂百科)。



----我是华丽分割线,请吃块“芝士”----

3.4.2  预算线的几何意义

  几何意义:横轴表示X商品的消费量,纵轴表示Y商品的消费量,斜线表示的是预算线。几何特征如下:

                   

(1)预算线斜率:

(2)纵截距:

(3)横截距:

(4)预算线以内的点(B点):表示消费者购买该点的商品组合后收入还有剩余;(5)预算线以外的点(C点):表示超越了消费者现有的实际购买能力的消费组合;(6)预算线上的点A点):表示消费者既定收入所能购买的两种商品最大数量组合。


结论:预算线的概念也说明,消费者只能在预算线上预算线之内进行决策才具有实际意义,如果超过预算线范围,就意味着超出了消费者的承受能力,这在现实中是没有实际意义的。



 ----我是华丽分割线,请吃块“芝士”----

3.4.3  预算线的移动

 既然预算线表示的是消费者在一定收入一定价格下的限制,那么当消费者的收入发生变化或商品价格发生变化时,都会引起预算线发生变化。

       请观看以下《预算约束线变动》视频,了解预算线为什么会发生变动?怎么变动?

视频名称:预算约束线变动    视频时间:0分47秒     视频来源:秒懂百科)。



  (1两种商品的价格不变,收入变动

   如图1,收入增加,预算线向右上方平移(ABA2B2),收入减少,预算线向左下方平移(AB→A1B1);

2收入不变,两种商品的价格同方向同比例变动

    (斜率不受影响)

   如图1,两种商品的价格同比例减少,预算线向右上方平移(AB→A2B2),两种商品的价格同比例增加,预算线向左下方平移(AB→A1B1);

 

 (3)收入不变,X商品的价格不变,Y商品的价格变动

  如图2,Y商品的价格上升,预算线将绕着它与横轴的交点(B点)向内转动(AB→A1B)(因Y价格上升购买数量所减少,但是全部收入用来购买X商品的数量并不受到影响);

  如图2,Y商品的价格下降,预算线将绕着它与横轴的交点(B点)向外转动(AB→A2B)。

 

(4)收入不变,Y商品的价格不变,X商品的价格变动

  如图3,X商品的价格上升,预算线将绕着它与纵轴的交点(A点)向内转动( AB→AB1 );

  如图3,X商品的价格下降,预算线将绕着它与纵轴的交点(A点)向外转动( AB→AB2 )。


(5)消费者收入、两种商品的价格同方向同比例变动

   预算线不发生移动。

 

结论:如上图,预算线划分为三个区域,左边的区域中的任何一个商品组合都是不可取的,因为消费者的收入未花完,消费者应该将其全部收入都用于实现效用最大化的目标上。而预算线右边的区域中的任何一个商品组合对于消费者来说都是不现实的,或者说,都是无力购买的。所以,最优的购买组合只能出现在预算线上


----我是华丽分割线,请做个“题子” ----

勤奋、重复、大量的练习,是给每一个普通人成才的机会。