本节课包含6个【芝士】点,5个微课【视频任务点】,1个【线上线下联动】,做1个【题子】(内含2道判断题、6道单选题、3个多选题),预计花费时间40分钟。
----我是华丽分割线,我是“引子”----

两种可变投入生产函数告诉我们,不同的生产方法可以生产出同一水平的产量。在许多种可能中,企业究竟应该使用哪种方法呢?怎样才能使成本最小而产量最大呢?本节讨论的就是用等产量曲线分析法分析生产要素的最佳组合问题。
----我是华丽分割线,请吃块“芝士”----


4.4.1 长期生产函数
1.长期生产函数
在长期内,所有生产要素的投入量都是可变的
长期生产函数
Q=f(X1,X2,…,Xn)
2.长期生产函数表达式
通常用两种可变生产要素的生产函数来考察长期问题
长期生产函数
Q=f(L,K)
L——劳动的投入量;
K——资本的投入量;
Q——产量

----我是华丽分割线,请吃块“芝士”----


4.4.2 等产量曲线
1.概念
等产量曲线(Isoquant Curve):又称生产无差异曲线,是指在技术水平不变的条件下,生产同一产量的两种生产要素投入的各种组合的轨迹。
2.特点
①等产量曲线是一条向右下方倾斜的曲线,其斜率为负值。
②在同一坐标平面上,可以有无数条等产量曲线,同一条等产量曲线代表相同的产量,不同等产量曲线代表不同的产量水平,离原点越远的等产量曲线所代表的产量越高。
③在同一坐标平面上,任意两条等产量曲线不相交。
④等产量曲线是一条凸向原点的曲线,是由边际技术替代率递减决定的。

----我是华丽分割线,请吃块“芝士”----


4.4.3 边际技术替代率
1.概念
边际技术替代率(Marginal Rate of Technical Substitution,MRTS):是指在维持产量不变的情况下,增加一单位某种要素投入量,所必须减少的另一种要素投入量。(一增一减)
劳动对资本的边际技术替代率( )
同学们,请观看下列《边际技术代替率》《边际技术替代率》两个视频,思考一下,什么原因决定了等产量曲线是凸向原点的?为什么边际技术替代率是递减呢?
(视频名称:边际技术代替率 视频时间:0分59秒 视频来源:秒懂百科)。
(视频名称:边际技术代替率 视频时间:0分52秒 视频来源:秒懂百科)。
2.几何意义
等产量曲线上任何一点的边际技术替代率等于该点切线的斜率的绝对值。
3.经济学意义
两种投入要素的边际技术替代率等于两种投入要素的边际产量之比。
(在维持产量水平不变的前提下,由增加劳动投入量所带来的总产量的增加量和由减少资本量所带来的总产量的减少量必定是相等的)


----我是华丽分割线,请吃块“芝士”----


4.4.4 边际技术替代率递减规律
1.概念
是指在维持产量不变的前提下,当一种要素的投入量不断增加时,每一单位的这种要素所能替代的另一种生产要素的数量是递减的。
同学们,请观看下方《边际技术替代率递减规律》视频,思考一下,此规律存在的前提条件是什么?为什么边际技术替代率是递减呢?
(视频名称:边际技术替代率递减规律 视频时间:0分44秒 视频来源:秒懂百科)。
2.原因
任何一种产品的生产技术都要求各要素投入之间有适当的比例,这意味着要素之间的替代是有限制的。

----我是华丽分割线,请吃块“芝士”----


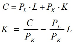
4.4.5 等成本线
1.概念
等产本线:也叫企业预算线,是指在生产者的成本与生产要素价格既定的条件下,生产者所购买到的两种生产要素数量组合的轨迹。

同学们,请观看下方《等成本线》视频,思考一下,概念的前提条件是什么?表达公式是什么?等成本线划分的区域分为哪三个部分?
(视频名称:等成本线 视频时间:0分46秒 视频来源:秒懂百科)。
2. 等成本线内外点的含义
等成本线以内的任何一点所购买的劳动和资本的组合,是可以实现的,但并不是最大数量组合,货币成本没有用完。
等成本线以外的任何一点所购买的劳动和资本的组合是既定货币成本下无法实现的。
等成本线上的点表示生产者既定成本刚好能够购买到的劳动和资本的最大数量组合。
3. 等成本线的移动
等成本线的位置取决于成本总量和要素价格。如果厂商的货币成本和生产要素价格改变了,则等成本线就会变动。
如果成本既定,要素价格变动,等成本线会转动。
如果成本变动,要素价格不变,等成本线会平移。
【线上线下联动】:同学们,请结合效用理论中的预算约束线, 思考成本预算线是如何进行变动的?

----我是华丽分割线,请吃块“芝士”----


4.4.6 生产要素最适组合
现在我们把等产量曲线与等成本线结合起来分析生产要素的最佳组合。
如果把等产量曲线与等成本线合在一个图上,那么,等成本线必定与无数条等产量曲线中的一条相切于一点。这个点就是生产要素最佳组合点或生产者的均衡点。
同学们,请观看下列《生产者均衡》视频,均衡的前提条件是什么?生产者均衡和利润最大化是什么关系?
(视频名称:生产者均衡 视频时间:0分49秒 视频来源:秒懂百科)。
1. 成本既定时产量最高的要素组合
等成本曲线MN:代表既定成本C0
等产量曲线:Q1<Q2<Q3
生产者均衡点(生产要素的最适组合点)在等产量曲线与等成本线的切点处。
2. 产量既定时成本最低的要素组合
等产量曲线:代表既定产量Q0
等成本曲线:C1<C2<C3
生产者均衡点(生产要素的最适组合点)在等产量曲线与等成本线的切点处。
无论是成本约束条件下的生产者均衡,还是产量约束条件下的生产者均衡,从图形上看都在等成本线和等产量曲线的切点处。
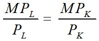
均衡点E的特征
过E点切线斜率的绝对值=MRTSLK=
等成本线斜率的绝对值=![]()
在均衡点E点有
生产者均衡的条件
3. 生产者均衡的条件
约束条件![]()
必要条件
为了实现既定成本条件下的最大产量或既定产量条件下的成本最小,厂商最优的生产要素组合是两种要素的边际产量与其价格之比相等时的组合。
生产要素最适组合在等成本线与等产量曲线的切点处,生产者按照该点的要素组合进行生产,可以实现产量既定时的最小成本或成本既定时的最大产量或实现生产的最大利润。
4. 利润最大化的最优生产要素组合
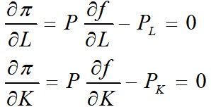
生产函数Q=f(L,K);商品的价格为P;劳动和资本的价格分别为PL,PK;π表示利润。厂商的利润等于总收益减去总成本。
厂商的利润函数:![]()
利润最大化的一阶条件:
整理可得:
----我是华丽分割线,请做个“题子” ----

勤奋、重复、大量的练习,是给每一个普通人成才的机会。

