第六节 节点
上一节
下一节
§2.6 节点 Nodal points
1.定义
Ø系统光轴上角放大率为1的一对共轭点

2.性质

•①当处于同一种介质中时,节点和主点重合
重合的该点同时具有主点和节点性质
置于空气中的薄透镜有一条特殊光线,它通过光心不发生偏折
•②过物方节点入射的光线,从像方节点平行射出

3.应用

•③转机摄影

上节回顾
1.作图法
①平行于光轴的入射光线
②过物方焦点的入射光线
③倾斜于光轴入射的平行光束
④自物方焦平面上一点发出的光线
⑤共轭光线在主平面上的投射高度相等
⑥过节点的共轭光线方向相同

•2.解析法

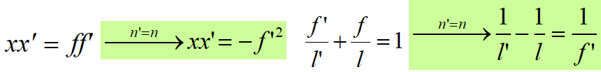
•3.两焦距间的关系与拉赫公式

二 理想光学系统的放大率
1.垂轴放大率 Lateralmagnification

2.Longitudinal ---- 像与物沿轴移动量之比

•3.Angular---像方与物方倾角的正切之比

三节点

1.过物方节点入射的光线,从像方节点平行射出
2.当处于同一种介质中时,节点和主点重合



