第五节 理想光学系统的物像关系
上一节
下一节
§2.5 理想光学系统的物像关系
Image Formation of Perfect Coaxial System
可供选择的典型光线
Ø平行于光轴的光线
Ø过物方焦点的光线
Ø倾斜于光轴入射的平行光束
Ø自物方焦平面上一点
Ø共轭光线在主平面上的投射高度相等
一 图解法求像

二 解析法


上节回顾
共轴球面系统的过渡公式


•理想光学系统
•理想光学系统的基点与基面

例:实际光学系统的基点位置和焦距的计算,P19
长60mm,折射率为1.5的玻璃棒,在其两端磨成曲率半径为10mm的凸球面,试球其焦距及基点位置
§2.5 理想光学系统的物像关系
Image Formation of PerfectCoaxial System


•解析法
Ø1.牛顿公式

2.高斯公式
以 H、H′为原点

3.两焦距间的关系与拉赫公式



各种表面的光焦度

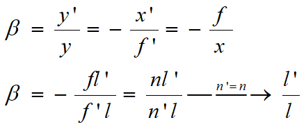
§2.5 理想光学系统的放大率
•1.垂轴放大率 Lateralmagnification

β与 l,l'有关。当l一定时,β与y的大小无关
•2.Longitudinal ---- 像与物沿轴移动量之比
•3.Angular---像方与物方倾角的正切之比

角放大率只和物体的位置有关,而与孔径角无关
在同一对共轭面上,任一对共轭光线与光轴的夹角正切之比恒为常数

讨论
•
依然成立 •三种放大率都与共轭面的位置有关,故对于同一光学系统来说,物(像)面位置的不同,对应的放大率是不同的
•n’=n时,
,对某一共轭面,只要给定任意一个放大率,其它两个放大率便随之确定

