§2.2球面光学成像系统、
•本节讨论有限大小的物体经过折射球面在近轴区的成像情况
•有限大小的物体经折射球面的成像,除了物象位置外,还会涉及像的正倒、虚实、放大率等问题。
•细小物平面以细小光束成像
物平面是靠近光轴的很小的垂轴平面,并以细光束成像,就可以认为其像面也是平的,成的是完善像,称为高斯像,我们将这个成完善像的不大区域称为近轴区
一 单个折射球面成像

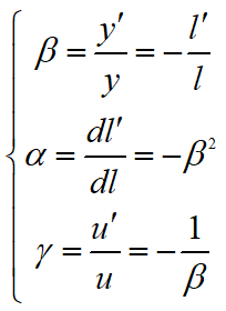
当求得一对共轭点的截距l和l¢后,可求得通过该共轭点的一对共轭面上的垂轴放大率。
b仅和共轭面位置有关。
在同一对共轭面上,b为常数,所以像和物相似

当|b|> 1,为放大像;当|b|<1,为缩小像
•2.轴向放大率
指光轴上一对共轭点沿轴移动量之间的关系
物点沿轴移动一微小量dl,相应的像移动dl¢

讨论:
①a恒为正,当物点沿轴向移动时,像点沿轴同向移动
②一般,a¹b,即空间物体成像后要变形。如正方体
③只有在dl很小时才适用

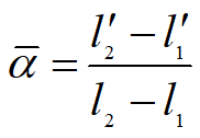
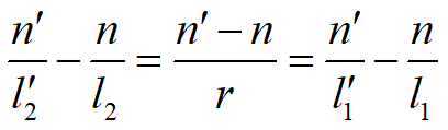
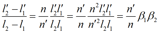
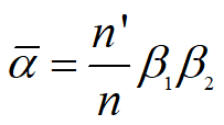
如果物点沿轴移动有限距离,如图所示,此距离显然可以用物点移动的始末两点A1和A2的截距差l2-l1 来表示,相应于像点移动的距离应为l 2¢-l 1¢

对A1和A2点

移项整理得

即

其中b1 和b2 分别为物在A1和A2两点的垂轴放大率
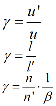
3.角放大率
共轭光线与光轴夹角u¢和u 的比值,称为角放大率

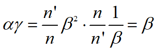
4. 三个放大率之间的关系

5. 拉亥不变量J
在公式b=y¢/y=nl¢/n¢l 中,利用公式g=l/l¢=u /u¢,
![]()
此式称为拉格朗日-亥姆霍兹恒等式,简称拉亥公式。其表示为不变量形式,用J 表示,简称拉亥不变量。
J 表征了这个光学系统的性能,即能以多高的物、多大孔径角的光线入射成像。 J 值大,表明系统能对物体成像的范围大,成像的孔径角大,传输光能多。同时,孔径角还与光学系统分辨微细结构的能力有关。所以J 大的系统具有高的性能。

•1.完善成像的等光程条件
•2.轴上物点单个折射球面的光路计算公式

•3.轴上物点近轴光路

4.细小物平面近轴光成像

①物平面以细光束经球面所成的像
细光束,A—— 》 A',完善成像
同心球面 A1A A2—— 》曲面A1'A'A2' ,完善成像
由物象位置公式, l 变小, l'也变小,平面B1AB2—》曲面B1'A'B2',不再是平面,像面弯曲
② 细小物平面以细光束经折射球面成像:
对于细小平面,认为像面弯曲可以忽略,平面物 —— 》平面像,完善成像

二、球面反射镜
在折射面的公式中,只要使n¢ =-n,便可直接得到反射球面的相应公式。
1.球面反射镜的物象位置公式
将n¢=-n 代入(2.13)式,可得

2.球面反射镜的焦距
![]()
球面反射镜的二焦点重合,
凹球面反射镜: r< 0,f¢< 0,实焦点,光束会聚
凸球面反射镜: r > 0 , f'>0 ,虚焦点,光束发散

3. 球面反射镜的放大率公式

α恒为负值,当物体沿光轴移动时,像总以相反方向沿轴移动。当物体经偶数次反射时,轴向放大率为正。
![]()
三共轴球面系统

已知
(1)各球面曲率半径r1,r2,……rk
(2)各表面顶点的间隔d1,d2,….. ,dk-1
(3)折射率 n1, n2, ……, nk+1
讨论经共轴球面系统成像的几个光路计算问题。
1.由入射光线求出射光线
•对一个面的操作+ 过渡
•上面讨论的单个折、反射球面的光路计算及成像特性,对构成光学系统的每个球面都适用。
•只要找到相邻两个球面之间的光路关系(过渡公式),就可以解决整个光学系统的光路计算问题,并分析成像特性。

光线在折射面上入射高度h的过渡公式。

2. 共轴球面系统的拉亥公式
![]()
拉亥不变量J不仅对一个折射面的两个空间是不变量,而且对整个光学系统的每一个面的每一个空间都是不变量。
J是光学系统的一个重要特征量。和单个折射球面的相同,J值越大,光学系统就具有更高的功能。
3.成像放大率
•总的放大率为各折射球面放大率的乘积
例如照相机的变焦镜头通常是由四部分组成:前固定组、变倍组、补偿组和后固定组。变焦镜头的放大率就等于四部分放大率之积。
•三个放大率之间的关系与单个折射球面的完全一致

