§2.1 近轴光学系统的光路计算
•大多数光学系统都是由折、反射球面或平面组成的共轴球面光学系统
•折射球面系统具有普遍意义
•光学系统的成像实际上是物体各点发出的光线经光学系统逐面折、反射的结果
•所以首先讨论单个折射球面折射的光路计算问题,再过渡到整个光学系统
•实际光学系统中,光线和球面的位置可能是多种多样的,为使推导出的公式在各种情况下都适用,对参数符号做了规定
一 基本概念和符号规则
1.基本概念
•光轴:若光学系统由球面组成,它们的球心位于同一直线上,则称为共轴球面系统,这条直线为该光学系统的光轴。实际上,光学系统的光轴是系统的对称轴
•子午面:通过物点和光轴的截面
•物方截距:L=OA,像方截距:L′=OA′
•物方孔径角:U,像方孔径角:U′

2. 符号规则:
Ø光线的传播方向:自左向右为正
Ø线段
u沿轴:以O为原点, -L,r,L′
u垂轴 h
u球面的曲率半径:球心在球面顶点的右方为正,反之为负
Ø角度
u光线与光轴的夹角:光轴转向光线 -U,U′
u光线与法线的夹角:光线转向法线 I,I′
u光轴与法线的夹角:光轴转向法线 j

二 单个折射球面的光路计算
•在给定单个折射球面的结构参量n、n¢和r 时,由已知入射光线坐标 L 和U,计算折射后出射光线的坐标L¢和U ¢

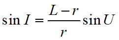
在ΔAPC中,
应用正弦定理有 ![]()
或
![]()
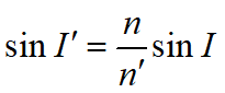
在P点,由折射定律得
![]()
由图可知![]()
所以![]()
![]()
同样,在三角形A'PC中应用正弦定理有

化简后得像方截距![]()
![]()
式(2.1-2.4)就是计算子午面内光线光路的基本公式。给出一组L、U,可计算L′、U′
由公式可知,L′是U的函数。不同 U的光线经折射后不能相交于一点,点-》斑
单个折射球面对轴上物点成像是不完善的,这种成像缺陷称为像差,是以后将会讨论到的球差。

三单个折射球面近轴光线的光路计算
•1.近轴光:如果限制U角在一个很小的范围内,即从A点发出的光线都离光轴很近,这样的光线称为近轴光
光轴附近的一个小区域称为近轴区。
研究近轴区的物象关系的光学称为近轴光学。
在近轴几何光学中,经常用到以下近似公式(一级泰勒展开)
![]()
![]()

U为物方孔径角,是个很小值(<<1rad),当U<5°,近似代替误差大约为1%. 近似的有效范围根据精度要求可扩展至10-30°
2.近轴光路计算公式 (2.6- 2.9)P27

在近轴条件下:OD << r
校对公式
利用大L 和小l计算公式及其它有关的公式计算光线光路的过程通常称为光线追迹。在近轴光的光路计算中U角可以任取
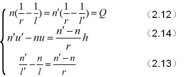
3.近轴光线经折射球面计算的其他形式

一个公式的三种不同表示形式,便于不同场合的应用
上式称为阿贝(Abbe)不变量。给定共轭点,
Q物=Q像,Q的大小与物像共轭点的位置有关。
(2.13)式表示物像位置的关系。
(2.14)式表示u和u¢的关系
4.(近轴区)折射球面的光焦度,焦点和焦距
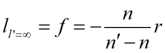
上式右端仅与介质的折射率及球面曲率半径有关,对于一定的介质及一定形状的表面来说是一个不变量。若n'、n、r 一定,则l变化 l’变化,它是表征折射面偏折光线的能力,称为折射球面的光焦度:

若物点位于左方无限远处的光轴上,此时入射光线平行于光轴,经球面折射后交光轴的交点记为F¢。这个特殊点是轴上无限远物点的像点,称为折射球面的像方焦点。此时的像距称为像方焦距,用f¢表示。


像距为无限远时所对应的物点,称为折射球面的物方焦点或前焦点,记为F,此时的物距称为物方焦距或前焦距,记为f,有


