第一节 几何光学的基本定律
几何光学是以光线的概念为基础,采用几何的方法研究光在介质中的传播规律和光学系统的成像特性
按几何光学的观点,光经过介质的传播问题可归结为四个基本定律:光的直线传播定律、光的独立传播定律、光的反射定律和折射定律

ref: 几何光学的发展
先秦时代 《墨经》
330-260BC 欧几里德《反射光学》
965-1038AD 阿勒·哈增《 光学全书》
十七世纪 开普勒、斯涅尔、笛卡儿、费马
折射定律的确立,使几何光学理论得到很快的发展。
1.光波、光线、光束
light waves、raysand beams
•光波
光波是一种电磁波,是一定频率范围内的电磁波,波长比一般的无线电波的短
•可见光:400nm-760nm
•紫外光:5-400nm
•红外光:780nm-40µm
•近红外:780nm-3µm
•中红外:3µm-6µm
•远红外:6µm-40µm


•光源light sources
Ø光源:任何能辐射光能的的物体
Ø点光源:无任何尺寸,在空间只有几何位置的光源
实际中是当光源的大小与其辐射光能的作用距离相比可 忽略不计,则视为点光源
•光学介质optical mediums
Ø光学介质:光从一个地方传至另一个地方的空间。空气、水、玻璃
Ø各向同性介质:光学介质的光学性质不随方向而改变
Ø各向异性介质:单晶体(双折射现象)
Ø均匀介质:光学介质的不同部分具有相同的光学性质
均匀各向同性介质

•波前 wave front
Ø波前:某一瞬间波动所到达的位置构成的曲面
Ø波面:传播过程中振动相位相同的各点所连结成的曲面
在任何的时刻都只能有一个确定的波前;波面的数目则是任意多的
Ø球面波:波面为球面的波,点光源
Ø平面波:无穷远光源
Ø柱面波:线光源



•光线:传输光能的有方向的几何线
Ø在各向同性介质中,光沿着波面的法线方向传输,所以波面的法线就是光线
•光束
Ø光束:具有一定关系的光线的集合
Ø同心光束:同一个发光点发出或相交于同一点
Ø平行光束:发光点位于无穷远,平面光波
Ø像散光束:既不相交于一点,又不平行,但有一定关系的光线的集合,与非球面的高次曲面光波相对应
同心光束

平行光束

ref: 像散光束
•光线既不平行,又不相交,波面为曲面。

ref: 工程思路
•在几何光学中研究成像时,主要要搞清光线在光学元件中的传播途径,这个途径称为光路。
•实际做法:从光束中取出一个适当的截面,再求出其上几条光线的光路,即可解决成像问题。这种截面称为光束截面。
2.几何光学的适用条件
•光学系统的尺度远大于光波的波长
•介质是均匀和各向同性的
3.基本定律
•光的直线传播定律(P4)
Ø各向同性的均匀介质
Ø局限性
•当光经过尺寸与光波长接近或更小的小孔或狭缝时,将偏离直线,“光的衍射”
•当光在非均匀介质中传播时,沿曲线传播
•独立传播定律(P4)
Ø从不同光源发出的光线,在空间某点相遇时,彼此互不影响,各光线独立传播
Ø利用这条定律,研究某一光线传播时,可不考虑其它光线的影响。大大简化我们对光线传播的研究
•光的反射和折射定律(P5)
光传播到两种不同介质的光滑分界面上时,继续传播的光线或返回原介质,或进入另一介质。前者称为光的反射,后者为光的折射。
•光的反射定律Ø同一平面内;法线的两侧,且I′′=-I•

•折射定律(P5下)
Ø在同一平面内
Øn×sinI=n′×sinI′(与入射角无关)
•折射率n:表征透明介质光学性质的重要参数之一。
Øn=c/v,描述介质中的光速相对于真空中的光速减慢程度的物理量Ø空气,n 略大于1(实际应用中大都假设为≈1)
Ø水,n ≈1.3
Ø玻璃,n ≈1.45 –1.75
Ø光折射晶体,如铌酸锂n≈2.2 –2.3
思考题
•反射定律可以看作折射定律的特殊情况(n′=-n)?!
•nab
补充:单位向量书写法
•P6•单位向量:Q,入射光线的方向。
•法线单位向量: N
•折射定律:n Q×N= n'Q' ×N
•反射定律:Q×N= -Q' ×N

4. 马吕斯定律(P7)
•马吕斯定律指出,光线束在各向同性的均匀介质中传播时,始终保持着与波面的正交性,并且入射波面与出射波面对应点之间的光程均为定值。(1808年)
•偏振,找波面。
•光程:光在介质中经过的几何路径l和该介质的折射率n的乘积

•L=n×l=c/v×l=c×l/v=c×t(t为光在介质中传播的时间)
Ø光在某种介质中的光程,等于相同时间内光在真空中的传播距离。
Ø只要光经过不同介质中的传播时间相同,则光程也相同
Ø在任意两个波面之间的所有光线,光程也相同,(波面是相同时间到达点的曲面)
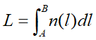
Ø光经过若干种介质时,光程为各介质折射率与几何路径乘积之和。
Ø若介质为非均匀,折射率连续变化,则![]()
5. 费马原理(P8)
•几何光学的三个基本定律,说明了光从一点传播到另一点的传播规律,而费马原理则从光程的角度阐述光的传播规律
•费马原理,不是建立在实验基础上的定律,也不是从数学上导出的定理,而是一个最基本的假设。
•费马原理是几何光学中光传播的理论基础。很多定律和对事物总图像的描述,均可由其得到正确的结果,但不是一种计算工具。
•费马原理:光是沿着光程为极值(极大、极小或常量)的路径传播的。(1679年)
•可推导光基本定律
•费马原理规定了光线传播的唯一可实现的路径,不论光线正向传播还是逆向传播,必沿同一路径。因而借助于费马原理可说明光的可逆性原理的正确性
•对于光程取极大或常量的情况

马吕斯定律 Malus law
垂直于波面的光线束,经过任意多次反射和折射后,出射波面仍和出射光束垂直,且入射波面和出射波面对应点之间的光程相等。
费马原理 在任意两个波面之间的所有光线,光程也相同,(波面是相同时间到达点的曲面)

一球面波在某时刻t1形成一波面,该波面经光学系统仍为一球面波,它在某一时刻 t2形成一波面。波面之间的光程总是相等,得等光程条件。
∴③物点及像点之间任意两条光路的光程相等
6.两个重要的光学现象(P11)
•光路可逆
•光的全反射 totalreflection
在一般情况下,光线至透明介质的分界面时,将同时发生反射和折射。在一定的条件下,界面可将入射光线全部反射回去,而无折射现象,这就是光的全反射。
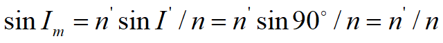
当入射角增大到某一程度时,折射角达到90°折射光线沿界面掠射出去,这时的入射角为临界入射角
![]()
当I> Im时,I′变为虚数
折射光消失,能量全部被反射
发生全反射的条件:
光线由光密向光疏介质入射;
入射角>临界角

•例如 从玻璃到空气的交界面:n=1.5,n′=1,
Im=sin-1 1.5/1=41.8°
I>Im,可发生全反射

•全反射广泛应用到光学仪器中:
Ø全反射在理论上优于一切镜面反射,在实际的光学仪器中,常利用全反射棱镜代替平面反射镜,以较少光能的反射损失
Ø光纤指纹检测

光纤



指纹开门/考勤
光线经玻璃射到指纹谷的地方后在玻璃与空气的界面发生全反射,光线被反射到CCD,而射向脊的光线不发生全反射,而是被脊与玻璃的接触面吸收或者漫反射到别的地方,这样就在CCD上形成了指纹的图象
作业:
1.推导光纤的最大入射角
2.费马原理证明反射定律
3.思考题:证明五角棱镜的出射光始终与入射光垂直。

