-
1 视频
-
2 章节测验
![]()
(一)中位数
1.定义:
将变量值按大小次序排列,处于中间位置的变量值即为中位数 => Me
[例]某科室由9人组成,其年龄分别为:24,25,25,26,26,27,28,29,55
2.计算
(1)当资料未分组时,中点位置=(n+1)/2;
当n为奇数时, Me =中间位置的那个变量值;
当n为偶数时,如24,25,25,26,26,27,28,29
Me =中间位置两侧的两个变量值的简单平均。
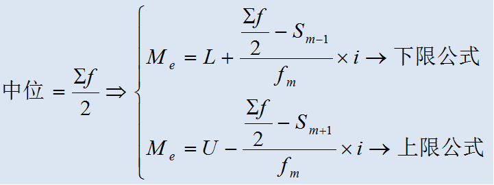
(2)当资料已分组且形成单项式变量数列时,中点位置=∑f/2
(3)资料已分组且形成组距式变量数列

(A)L为中位数所在组的下限,U为上限;
(B)i为中位数所在组的组距;
(C)Sm-1 为小于中位数的各组次数之和;
(D)Sm+1为大于中位数的各组次数之和;
(E)fm为中位数所在组的次数。
3.注意的问题
(1)不受极端值的影响,比较稳健。
(2)中位数的取值只与中间位置的一或两个数值有关,利用信息不充分,忽略了其它数据的大小,并且不适合于代数运算。
(二)众数
1.定义:
出现次数最多的变量值。用Mo表示。
A. 20,15,18,20,20,22,20,23; 
n=8 Mo=20
B.20,20,15,19,19,20,19,25;
n=8 Mo=20 Mo=19
C. 10,11,13,16,15,25,8,12;
n=8,但没有众数
2.计算
(1)当资料为单项式数列时。先确定众数组;再确定众数:Mo=18
(2)当资料为组距式数列时。先确定众数组;再用下述公式计算:

符号含义:
(A)L为众数组的下限,U为上限;
(B)i为众数组的组距;
(C)1=fm-fm-1,即众数组的次数与前一组次数之差;
2=fm -fm+1,即众数组的次数与后一组次数之差。



3.注意问题
(1)优点:不受极端值的影响。
(2)缺点:未利用所有信息,缺乏敏感性和不适合代数运算。

