计算平均数(二):集中趋势之充分表达
-
1 视频
-
2 章节测验
上一节
下一节
![]()
(二)调和平均数
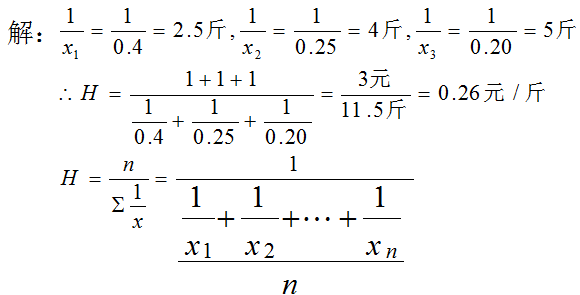
调和平均数:变量值倒数的算术平均数的倒数。
1.简单调和平均数:(各变量值均为一个单位时使用)
[例]某种蔬菜早上0.4元/斤,中午0.25元/斤,晚上0.20元/斤,某人各买1斤,求平均价格。(算术平均法)
[例]类似地某人早、中、晚各买1元,求平均价格。

式中:x代表各个变量值,n代表变量值项数。
2.加权调和平均数:(各变量值为不等单位时使用)

(三)几何平均数
1.定义:n个变量值连乘积的n次方根。
2.适用前提:总体标志总量=总体各单位标志值,宜计算比率或速度的平均数。
3.公式:

4.注意:当观察值有一项为零或负值时,不宜用几何平均数计算。
5.如用同一数据分别计算算术平均数、调和平均数和几何平均数时,则有如下关系:
![]()

