计算平均数(一):集中趋势之充分表达
-
1 视频
-
2 章节测验
上一节
下一节
![]()
平均指标
1.定义:
反映同类现象一般水平的统计指标。

2.特点
(1)将各单位的数量差异抽象化,即消除离差;
(2)反映次数分布的集中趋势,即找出中心;
(3)是总体各单位某一数量标志值的代表水平。
3.平均指标的种类

![]()
(一)算术平均数
1. 基本公式=总体标志总量/总体单位总量
2.算术平均数的计算
未分组资料

已分组资料

注意: 加权算术平均数不仅受各组变量值大小的影响,还受各组次数多少的影响。次数因其对平均的结果有权衡轻重的作用,因此,也叫权数。
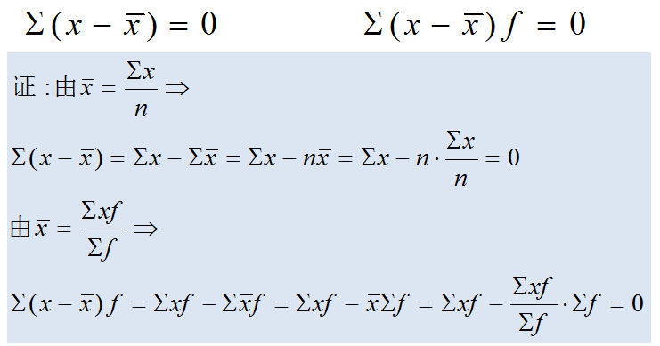
3.算术平均数的数学性质
(1)各变量值与其算术平均数的离差之和为零。即

(2)各变量值与其算术平均数的离差平方和为最小值。


