有效汇率(上)
-
1 视频
-
2 章节测验
上一节
下一节

名义有效汇率
名义有效汇率(NEER,Nominal Effective Exchange Rate)

代表t年某国货币对i国的名义利率,
代表基期某国货币对i国的名义利率。
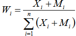
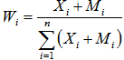
表示i国对某国的贸易权重,各国权重之和为1。可以用算数平均法也可用几何平均法计算。
贸易权重

双边贸易权重(bilateral trade weight):以某国进出口总额占本国进出口总额的比例为权重。和
为i国对本国的出口额和进口额。
多边贸易权重(multilateral trade weight):和
为i国所有的出口额和进口额,分母表示贸易伙伴国所有的进出口总额(不含本国的进出口额)。
双边贸易权重与多边贸易权重的差异
关键货币国家对本币汇率的变化取决于其在国际贸易中举足轻重的地位,而不是本国与关键货币之间的贸易规模。
若A国与B国的进出口贸易均为零,采用双边权重,B国的权重为零;但采用多边权重,B国的权重则肯定大于零。
双边权重更注重本国与权重国(与本国有贸易往来的国家)之间贸易的密切程度
多边权重更注重权重国(不一定与本国有贸易往来的国家)对外贸易的开放程度

