实际汇率(下)
-
1 视频
-
2 章节测验
上一节
下一节

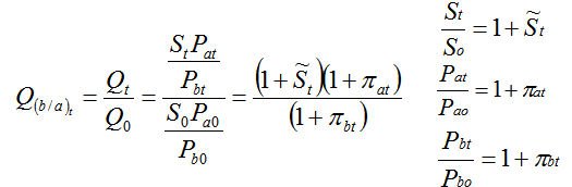
实际汇率指数
S(b/a):名义双边汇率,即单位a货币可以兑换S单位的b货币,即a货币是基准货币,b货币是标价货币。
Q (b/a):实际双边汇率。Pa是a货币的物价指数,Pb是b货币的物价指数。

注意
◆ 应区分是标价货币的实际汇率指数还是基准货币的实际汇率指数,以上公式针对基准货币的实际汇率指数而言。
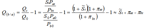
◆ 计算实际汇率指数时采用的是乘除法。计算实际汇率变化率,采用加减法,上述公式变化为:

人民币实际汇率的计算


